决策树(《统计学习方法》)
决策树(decision tree)是一种基本的分类与回归方法。本章主要讨论用于分类的决策树。决策树模型呈树形结构,在分类问题中,表示基于特征对实例进行分类的过程。它可以认为是 if-then 规则的集合,也可以认为是定义在特征空间与类空间上的条件概率分布。其主要优点是模型具有可读性,分类速度快。学习时,利用训练数据,根据损失函数最小化的原则建立决策树模型。预测时,对新的数据,利用决策树模型进行分类。决策树学习通常包括 3 个步骤:特征选择、决策树的生成和决策树的修剪。这些决策树学习的思想主要来源于ID3 算法和C4.5 算法,以及CART 算法。
决策树模型与学习
分类决策树模型是一种描述对实例进行分类的树形结构。决策树由结点(node)和有向边(directededge)组成。结点有两种类型:内部结点(internal node)和叶结点(leaf node)。内部结点表示一个特征或属性,叶结点表示一个类。
用决策树分类,从根结点开始,对实例的某-特征进行测试,根据测试结果,将实例分配到其子结点;这时,每一个子结点对应着该特征的一个取值。如此递归地对实例进行测试并分配,直至达到叶结点。最后将实例分到叶结点的类中。
下图是一个决策树的示意图。图中圆和方框分别表示内部结点和叶结点。
决策树与 if-then 规则
可以将决策树看成一个 if-then 规则的集合。将决策树转换成if-then规则的过程是这样的:由决策树的根结点到叶结点的每一条路径构建一条规则;路径上内部结点的特征对应着规则的条件,而叶结点的类对应着规则的结论。决策树的路径或其对应的 if-then 规则集合具有一个重要的性质:互斥并且完备。这就是说,每一个实例都被条路径或一条规则所覆盖,而且只被一条路径或一条规则所覆盖。这里所谓覆盖是指实例的特征与路径上的特征一致或实例满足规则的条件。
决策树与条件概率分布
决策树还表示给定特征条件下类的条件概率分布。这一条件概率分布定义在特征空间的一个划分(partition)上。将特征空间划分为互不相交的单元(cel) l 或区域(region),并在每个单元定义一个类的概率分布就构成了一个条件概率分布。决策树的一条路径对应于划分中的一个单元。决策树所表示的条件概率分布由各个单元给定条件下类的条件概率分布组成。假设X X X 为表示特征的随机变量,Y Y Y 为表示类的随机变量,那么这个条件概率分布可以表示为P ( Y ∣ X ) P(Y | X) P ( Y ∣ X ) 。X X X 取值于给定划分下单元的集合,Y Y Y 取值于类的集合。各叶结点(单元)上的条件概率往往偏向某一个类,即属于某一类的概率较大。決策树分类时将该结点的实例强行分到条件概率大的那类去。
图 5.2 (a)示意地表示了特征空间的一个划分。图中的大正方形表示特征空间。这个大正方形被若干个小矩形分割,每个小矩形表示一个单元。特征空间划分上的单元构成了一个集合,X X X 取值为单元的集合。为简单起见,假设只有两类:正类和负类,即Y Y Y 取值为+1和-1。小矩形中的数字表示单元的类。图 5.2 (b)示意地表示特征空间划分确定时,特征(单元)给定条件下类的条件概率分布。图 5.2 (b)中条件概率分布对应于图 5.2 (a)的划分。当某个单元 c c c 的条件概率满足P ( Y = + 1 ∣ X = c ) > 0.5 P(Y=+1 | X=c)>0.5 P ( Y = + 1 ∣ X = c ) > 0 . 5 时,则认为这个单元属于正类,即落在这个单元的实例都被视为正例。图 5.2 (c)为对应于图 5.2 (b)中条件概率分布的决策树。
决策树学习
假设给定训练数据集
D = { ( x 1 , y 1 ) , ( x 2 , y 2 ) , ⋯ , ( x N , y N ) } D=\left\{\left(x_{1}, y_{1}\right),\left(x_{2}, y_{2}\right), \cdots,\left(x_{N}, y_{N}\right)\right\} D = { ( x 1 , y 1 ) , ( x 2 , y 2 ) , ⋯ , ( x N , y N ) }
其中,x i = ( x i ( 1 ) , x i ( 2 ) , ⋯ , x i ( n ) ) T x_{i}=\left(x_{i}^{(1)}, x_{i}^{(2)}, \cdots, x_{i}^{(n)}\right)^{\mathrm{T}} x i = ( x i ( 1 ) , x i ( 2 ) , ⋯ , x i ( n ) ) T 为输入实例(特征向量),n n n 为特征个数,y i ∈ y_{i} \in y i ∈ { 1 , 2 , ⋯ , K } \{1,2, \cdots, K\} { 1 , 2 , ⋯ , K } 为类标记,i = 1 , 2 , ⋯ , N i=1,2, \cdots, N i = 1 , 2 , ⋯ , N ,N N N 为样本容量。决策树学习的目标是根据给定的训练数据集构建一个决策树模型,使它能够对实例进行正确的分类。
决策树学习本质上是从训练数据集中归纳出一组分类规则。与训练数据集不相矛盾的决策树(即能对训练数据进行正确分类的决策树)可能有多个,也可能一个都没有。我们需要的是一个与训练数据矛盾较小的决策树,同时具有很好的泛化能力。从另一个角度看,决策树学习是由训练数据集估计条件概率模型。基于特征空间划分的类的条件概率模型有无穷多个。我们选择的条件概率模型应该不仅对训练数据有很好的拟合,而且对未知数据有很好的预测。
决策树学习用损失函数表示这一目标。如下所述,决策树学习的损失函数通常是正则化的极大似然函数。决策树学习的策略是以损失函数为目标函数的最小化。
当损失函数确定以后,学习问题就变为在损失函数意义下选择最优决策树的问题。因为从所有可能的决策树中选取最优决策树是 NP 完全问题,所以现实中决策树学习算法通常采用启发式方法,近似求解这一最优化问题。这样得到的决策树是次最优(sub-optimal)的。
决策树学习的算法通常是一个递归地选择最优特征,并根据该特征对训练数据进行分割,使得对各个子数据集有一个最好的分类的过程。这一过程对应着对特征空间的划分,也对应着决策树的构建。开始,构建根结点,将所有训练数据都放在根结点。选择一个最优特征,按照这一特征将训练数据集分割成子集,使得各个子集有一个在当前条件下最好的分类。如果这些子集已经能够被基本正确分类,那么构建叶结点,并将这些子集分到所对应的叶结点中去;如果还有子集不能被基本正确分类,那么就对这些子集选择新的最优特征,继续对其进行分割,构建相应的结点。如此递归地进行下去,直至所有训练数据子集被基本正确分类,或者没有合适的特征为止。最后每个子集都被分到叶结点上,即都有了明确的类。这就生成了一棵决策树。
以上方法生成的决策树可能对训练数据有很好的分类能力,但对未知的测试数据却未必有很好的分类能力,即可能发生过拟合现象。我们需要对已生成的树自下而上进行剪枝,将树变得更简单,从而使它具有更好的泛化能力。具体地,就是去掉过于细分的叶结点,使其回退到父结点,甚至更高的结点,然后将父结点或更高的结点改为新的叶结点。
如果特征数量很多,也可以在决策树学习开始的时候,对特征进行选择,只留下对训练数据有足够分类能力的特征。
可以看出,决策树学习算法包含特征选择、决策树的生成与决策树的剪枝过程。由于决策树表示一个条件概率分布,所以深浅不同的决策树对应着不同复杂度的概率模型。决策树的生成对应于模型的局部选择,决策树的剪枝对应于模型的全局选择。决策树的生成只考虑局部最优,相对地,决策树的剪枝则考虑全局最优。
特征选择
特征选择在于选取对训练数据具有分类能力的特征。这样可以提高决策树学习的效率。如果利用一个特征进行分类的结果与随机分类的结果没有很大差别,则称这个特征是没有分类能力的。经验上扔掉这样的特征对决策树学习的精度影响不大。通常特征选择的准则是信息增益或信息增益比。
信息增益
为了便于说明,先给出熵与条件熵的定义。
在信息论与概率统计中,熵(entropy)是表示随机变量不确定性的度量。设X X X 是一个取有限个值的离散随机变量,其概率分布为
P ( X = x i ) = p i , i = 1 , 2 , ⋯ , n P\left(X=x_{i}\right)=p_{i}, \quad i=1,2, \cdots, n P ( X = x i ) = p i , i = 1 , 2 , ⋯ , n
则随机变量X X X 的熵定义为:
H ( X ) = − ∑ i = 1 n p i log p i H(X)=-\sum_{i=1}^{n} p_{i} \log p_{i} H ( X ) = − ∑ i = 1 n p i log p i
若p i = 0 p_{i}=0 p i = 0 ,则定义0 log 0 = 0 0 \log 0=0 0 log 0 = 0 。通常,上式中的对数以 2 为底或以 e为底(自然对数),这时熵的单位分别称作比特(bit)或纳特(nat)。由定义可知,熵只依赖于X X X 的分布,而与X X X 的取值无关,所以也可将X X X 的熵记作H ( p ) H(p) H ( p ) ,即
H ( p ) = − ∑ i = 1 n p i log p i H(p)=-\sum_{i=1}^{n} p_{i} \log p_{i} H ( p ) = − ∑ i = 1 n p i log p i
熵越大,随机变量的不确定性就越大。从定义可验证
0 ⩽ H ( p ) ⩽ log n 0 \leqslant H(p) \leqslant \log n 0 ⩽ H ( p ) ⩽ log n
当随机变量只取两个值,例如 1,0 时,即X X X 的分布为:
P ( X = 1 ) = p , P ( X = 0 ) = 1 − p , 0 ⩽ p ⩽ 1 P(X=1)=p, \quad P(X=0)=1-p, \quad 0 \leqslant p \leqslant 1 P ( X = 1 ) = p , P ( X = 0 ) = 1 − p , 0 ⩽ p ⩽ 1
熵为
H ( p ) = − p log 2 p − ( 1 − p ) log 2 ( 1 − p ) H(p)=-p \log _{2} p-(1-p) \log _{2}(1-p) H ( p ) = − p log 2 p − ( 1 − p ) log 2 ( 1 − p )
这时,熵H ( p ) H(p) H ( p ) 随概率p p p 变化的曲线如图所示(单位为比特):
当p = 0 p=0 p = 0 或p = 1 p=1 p = 1 时H ( p ) = 0 H(p)=0 H ( p ) = 0 , 随机变量完全没有不确定性。当p = 0.5 p=0.5 p = 0 . 5 时,H ( p ) = 1 H(p)=1 H ( p ) = 1 , 熵取值最大,随机变量不确定性最大。
设有随机变量( X , Y ) (X, Y) ( X , Y ) ,其联合概率分布为:
P ( X = x i , Y = y j ) = p i j , i = 1 , 2 , ⋯ , n ; j = 1 , 2 , ⋯ , m P\left(X=x_{i}, Y=y_{j}\right)=p_{i j}, \quad i=1,2, \cdots, n ; \quad j=1,2, \cdots, m P ( X = x i , Y = y j ) = p i j , i = 1 , 2 , ⋯ , n ; j = 1 , 2 , ⋯ , m
条件熵H ( Y ∣ X ) H(Y | X) H ( Y ∣ X ) 表示在已知随机变量X X X 的条件下随机变量Y Y Y 的不确定性。随机变量X X X 给定的条件下随机变量Y Y Y 的条件熵(conditional entropy) H ( Y ∣ X ) H(Y | X) H ( Y ∣ X ) ,定义为X X X 给定条件下Y Y Y 的条件概率分布的熵对X X X 的数学期望:
H ( Y ∣ X ) = ∑ i = 1 n p i H ( Y ∣ X = x i ) H(Y | X)=\sum_{i=1}^{n} p_{i} H\left(Y | X=x_{i}\right) H ( Y ∣ X ) = ∑ i = 1 n p i H ( Y ∣ X = x i )
这里,p i = P ( X = x i ) , i = 1 , 2 , ⋯ , n p_{i}=P\left(X=x_{i}\right), i=1,2, \cdots, n p i = P ( X = x i ) , i = 1 , 2 , ⋯ , n 。
当熵和条件熵中的概率由数据估计(特别是极大似然估计)得到时,所对应的熵与条件熵分别称为经验熵(empirical entropy)和经验条件熵(empirical conditional entropy)。此时,如果有 0 概率,令0 log 0 = 0 0 \log 0=0 0 log 0 = 0 。
信息增益(information gain)表示得知特征X X X 的信息而使得类Y Y Y 的信息的不确定性减少的程度。
信息增益:特征A A A 对训练数据集D D D 的信息増益g ( D , A ) g(D, A) g ( D , A ) ,定义为集合D D D 的经验熵H ( D ) H(D) H ( D ) 与特征A A A 给定条件下D D D 的经验条件熵H ( D ∣ A ) H(D | A) H ( D ∣ A ) 之差,即
g ( D , A ) = H ( D ) − H ( D ∣ A ) g(D, A)=H(D)-H(D | A) g ( D , A ) = H ( D ) − H ( D ∣ A )
一般地,熵H ( Y ) H(Y) H ( Y ) 与条件熵H ( Y ∣ X ) H(Y | X) H ( Y ∣ X ) 之差称为互信息(mutual information)。决策树学习中的信息增益等价于训练数据集中类与特征的互信息。
决策树学习应用信息增益准则选择特征。给定训练数据集D D D 和特征A A A ,经验熵H ( D ) H(D) H ( D ) 表示对数据集D D D 进行分类的不确定性。而经验条件熵(DlA)表示在特征A A A 给定的条件下对数据集D D D 进行分类的不确定性。那么它们的差,即信息增益,就表示由于特征A A A 而使得对数据集D D D 的分类的不确定性减少的程度。显然,对于数据集D D D 而言,信息增益依赖于特征,不同的特征往往具有不同的信息增益。信息增益大的特征具有更强的分类能力。
根据信息增益准则的特征选择方法是:对训练数据集(或子集)D D D ,计算其每个特征的信息增益,并比较它们的大小,选择信息增益最大的特征。
设训练数据集为D D D ,∣ D ∣ |D| ∣ D ∣ 表示其样本容量,即样本个数。设有K K K 个类C k C_{k} C k ,k = k= k = 1 , 2 , ⋯ , K 1,2, \cdots, K 1 , 2 , ⋯ , K ,∣ C k ∣ \left|C_{k}\right| ∣ C k ∣ 为属于类C k C_{k} C k 的样本个数,∑ k = 1 K ∣ C k ∣ = ∣ D ∣ \sum_{k=1}^{K}\left|C_{k}\right|=|D| ∑ k = 1 K ∣ C k ∣ = ∣ D ∣ .设特征A A A 有n n n 个不同的取值{ a 1 , a 2 , ⋯ , a n } \left\{a_{1}, a_{2}, \cdots, a_{n}\right\} { a 1 , a 2 , ⋯ , a n } ,根据特征A A A 的取值将D D D 划分为n n n 个子集D 1 , D 2 , ⋯ , D n D_{1}, D_{2}, \cdots, D_{n} D 1 , D 2 , ⋯ , D n ,∣ D i ∣ \left|D_{i}\right| ∣ D i ∣ 为D i D_{i} D i 的样本个数,∑ i = 1 n ∣ D i ∣ = ∣ D ∣ \sum_{i=1}^{n}\left|D_{i}\right|=|D| ∑ i = 1 n ∣ D i ∣ = ∣ D ∣ 。记子集D i D_{i} D i 中属于类C k C_{k} C k 的样本的集合为D i k D_{i k} D i k 即D i k = D i ∩ C k D_{i k}=D_{i} \cap C_{k} D i k = D i ∩ C k ,∣ D i k ∣ | D_{i k |} ∣ D i k ∣ 为D i k D_{i k} D i k ,的样本个数。于是信息增益的算法如下去。
输入:训练数据集D D D 和特征A A A ;
输出:特征A A A 对训练数据集D D D 的信息增益g ( D , A ) g(D, A) g ( D , A ) 。
计算数据集D D D 的经验熵H ( D ) H(D) H ( D )
H ( D ) = − ∑ k = 1 K ∣ C k ∣ ∣ D ∣ log 2 ∣ C k ∣ ∣ D ∣ H(D)=-\sum_{k=1}^{K} \frac{\left|C_{k}\right|}{|D|} \log _{2} \frac{\left|C_{k}\right|}{|D|} H ( D ) = − ∑ k = 1 K ∣ D ∣ ∣ C k ∣ log 2 ∣ D ∣ ∣ C k ∣
计算特征A A A 对数据集D D D 的经验条件熵H ( D ∣ A ) H(D | A) H ( D ∣ A )
H ( D ∣ A ) = ∑ i = 1 n ∣ D i ∣ ∣ D ∣ H ( D i ) = − ∑ i = 1 n ∣ D i ∣ ∣ D ∣ ∑ k = 1 K ∣ D i k ∣ ∣ D i ∣ log 2 ∣ D i k ∣ ∣ D i ∣ H(D | A)=\sum_{i=1}^{n} \frac{\left|D_{i}\right|}{|D|} H\left(D_{i}\right)=-\sum_{i=1}^{n} \frac{\left|D_{i}\right|}{|D|} \sum_{k=1}^{K} \frac{\left|D_{i k}\right|}{\left|D_{i}\right|} \log _{2} \frac{\left|D_{i k}\right|}{\left|D_{i}\right|} H ( D ∣ A ) = ∑ i = 1 n ∣ D ∣ ∣ D i ∣ H ( D i ) = − ∑ i = 1 n ∣ D ∣ ∣ D i ∣ ∑ k = 1 K ∣ D i ∣ ∣ D i k ∣ log 2 ∣ D i ∣ ∣ D i k ∣
计算信息增益
g ( D , A ) = H ( D ) − H ( D ∣ A ) g(D, A)=H(D)-H(D | A) g ( D , A ) = H ( D ) − H ( D ∣ A )
信息增益比
以信息增益作为划分训练数据集的特征,存在偏向于选择取值较多的特征的问题。使用信息增益比(information gain ratio)可以对这一问题进行校正。这是特征选择的另一准则。
信息增益比:
特征A A A 对训练数据集D D D 的信息増益比g R ( D , A ) g_{R}(D, A) g R ( D , A ) 定义为其信息增益g ( D , A ) g(D, A) g ( D , A ) 与训练数据集D D D 关于特征A A A 的值的熵H A ( D ) H_{A}(D) H A ( D ) 之比,即
g R ( D , A ) = g ( D , A ) H A ( D ) g_{R}(D, A)=\frac{g(D, A)}{H_{A}(D)} g R ( D , A ) = H A ( D ) g ( D , A )
其中,H A ( D ) = − ∑ i = 1 n ∣ D i ∣ ∣ D ∣ log 2 ∣ D i ∣ ∣ D ∣ H_{A}(D)=-\sum_{i=1}^{n} \frac{\left|D_{i}\right|}{|D|} \log _{2} \frac{\left|D_{i}\right|}{|D|} H A ( D ) = − ∑ i = 1 n ∣ D ∣ ∣ D i ∣ log 2 ∣ D ∣ ∣ D i ∣ ,n n n 是特征A A A 取值的个数。
决策树的生成
ID3 算法
ID3 算法的核心是在决策树各个结点上应用信息增益准则选择特征,递归地构建决策树。具体方法是:从根结点(root node)开始,对结点计算所有可能的特征的信息增益,选择信息增益最大的特征作为结点的特征,由该特征的不同取值建立子结点;再对子结点递归地调用以上方法,构建决策树;直到所有特征的信息增益均很小或没有特征可以选择为止。最后得到一棵决策树。ID3 相当于用极大似然法进行概率模型的选择。
输入:训练数据集D D D ,特征集A A A 阈值ε \varepsilon ε ;
输出:决策树T T T 。
若D D D 中所有实例属于同一类C k C_{k} C k ,则T T T 为单结点树,并将类C k C_{k} C k 作为该结点
若A = ∅ A=\varnothing A = ∅ ,则T T T 为单结点树,并将D D D 中实例数最大的类C k C_{k} C k 作为该结点的类标记,返回T T T 。
否则,计算A A A 中各特征对D D D 的信息增益,选择信息增益最大的特征A g A_{g} A g .
如果A A A 的信息增益小于阈值ε \varepsilon ε ,则置T T T 为单结点树,并将D D D 中实例数最大的类C k C_{k} C k 作为该结点的类标记,返回T T T .
否则,对A g A_{g} A g 的每一可能值a i \boldsymbol{a}_{\boldsymbol{i}} a i ,依A g = a i A_{g}=a_{i} A g = a i 将D D D 分割为若干非空子集D D D ,将D D D 分割为若干非空子集D i D_{i} D i ,将D i D_{i} D i 中实例数最大的类作为标记,构建子结点,由结点及其子结点构成树T T T ,返回T T T 。
对第i i i 个子结点,以D i D_{i} D i 为训练集,以A − { A g } A-\left\{A_{g}\right\} A − { A g } 为特征集,递归地调用步1~5,得到子树T i T_{i} T i ,返回T i T_{i} T i 。
ID3 算法只有树的生成,所以该算法生成的树容易产生过拟合。
C4.5 的生成算法
C4.5 算法与 ID3 算法相似,C4.5 算法对 ID3 算法进行了改进。C4.5 在生成的过程中,用信息增益比来选择特征
输入:训练数据集D D D ,特征集A A A 阈值ε \varepsilon ε ;
输出:决策树T T T 。
若D D D 中所有实例属于同一类C k C_{k} C k ,则T T T 为单结点树,并将类C k C_{k} C k 作为该结点
若A = ∅ A=\varnothing A = ∅ ,则T T T 为单结点树,并将D D D 中实例数最大的类C k C_{k} C k 作为该结点的类标记,返回T T T 。
否则,计算A A A 中各特征对D D D 的信息增益比,选择信息增益最大比的特征A g A_{g} A g .
如果A A A 的信息增益小于阈值ε \varepsilon ε ,则置T T T 为单结点树,并将D D D 中实例数最大的类C k C_{k} C k 作为该结点的类标记,返回T T T .
否则,对A g A_{g} A g 的每一可能值a i \boldsymbol{a}_{\boldsymbol{i}} a i ,依A g = a i A_{g}=a_{i} A g = a i 将D D D 分割为若干非空子集D D D ,将D D D 分割为若干非空子集D i D_{i} D i ,将D i D_{i} D i 中实例数最大的类作为标记,构建子结点,由结点及其子结点构成树T T T ,返回T T T 。
对第i i i 个子结点,以D i D_{i} D i 为训练集,以A − { A g } A-\left\{A_{g}\right\} A − { A g } 为特征集,递归地调用步1~5,得到子树T i T_{i} T i ,返回T i T_{i} T i 。
决策树的剪枝
决策树生成算法递归地产生决策树,直到不能继续下去为止。这样产生的树往往对训练数据的分类很准确,但对未知的测试数据的分类却没有那么准确,即出现过拟合现象。过拟合的原因在于学习时过多地考虑如何提高对训练数据的正确分类,从而构建出过于复杂的决策树。解決这个问题的办法是考虑决策树的复杂度,对已生成的决策树进行简化。
在决策树学习中将已生成的树进行简化的过程称为剪枝(pruning)。具体地,剪枝从已生成的树上裁掉一些子树或叶结点,并将其根结点或父结点作为新的叶结点,从而简化分类树模型。
本节介绍一种简单的决策树学习的剪枝算法。
决策树的剪枝往往通过极小化决策树整体的损失函数(loss function)或代价函数(cost function)来实现。设树T T T 的叶结点个数为∣ T ∣ |T| ∣ T ∣ ,t t t 是树T T T 的叶结点,该叶结点有N t N_{t} N t 个样本点,其中k k k 类的样本点有N t k N_{t k} N t k 个,k = 1 , 2 , ⋯ , K k=1,2, \cdots, K k = 1 , 2 , ⋯ , K ,H t ( T ) H_{t}(T) H t ( T ) 为叶结点t t t 上的经验熵,α ⩾ 0 \alpha \geqslant 0 α ⩾ 0 为参数,则决策树学习的损失函数可以定义为
C α ( T ) = ∑ t = 1 ∣ T ∣ N t H t ( T ) + α ∣ T ∣ C_{\alpha}(T)=\sum_{t=1}^{|T|} N_{t} H_{t}(T)+\alpha|T| C α ( T ) = ∑ t = 1 ∣ T ∣ N t H t ( T ) + α ∣ T ∣
其中经验熵为
H t ( T ) = − ∑ k N t k N t log N t k N t H_{t}(T)=-\sum_{k} \frac{N_{t k}}{N_{t}} \log \frac{N_{t k}}{N_{t}} H t ( T ) = − ∑ k N t N t k log N t N t k
在损失函数中,将右端的第 1 项记作
C ( T ) = ∑ t = 1 ∣ T ∣ N t H t ( T ) = − ∑ t = 1 ∣ T ∣ ∑ k = 1 K N t k log N t k N t C(T)=\sum_{t=1}^{|T|} N_{t} H_{t}(T)=-\sum_{t=1}^{|T|} \sum_{k=1}^{K} N_{t k} \log \frac{N_{t k}}{N_{t}} C ( T ) = ∑ t = 1 ∣ T ∣ N t H t ( T ) = − ∑ t = 1 ∣ T ∣ ∑ k = 1 K N t k log N t N t k
这时有
C α ( T ) = C ( T ) + α ∣ T ∣ C_{\alpha}(T)=C(T)+\alpha|T| C α ( T ) = C ( T ) + α ∣ T ∣
C ( T ) C(T) C ( T ) 表示模型对训练数据的预测误差,即模型与训练数据的拟合程度,∣ T ∣ |T| ∣ T ∣ 表示模型复杂度,参数α ⩾ 0 \alpha \geqslant 0 α ⩾ 0 控制两者之间的影响。较大的α \alpha α 促使选择较简单的模型(树),较小的α \alpha α 促使选择较复杂的模型(树)。α = 0 \alpha=0 α = 0 意味着只考虑模型与训练数据的拟合程度,不考虑模型的复杂度。
剪枝,就是当α \alpha α 确定时,选择损失函数最小的模型,即损失函数最小的子树。当值确定时,子树越大,往往与训练数据的拟合越好,但是模型的复杂度就越高:相反,子树越小,模型的复杂度就越低,但是往往与训练数据的拟合不好。损失函数正好表示了对两者的平衡。
可以看出,决策树生成只考虑了通过提高信息增益(或信息增益比)对训练数据进行更好的拟合。而决策树剪枝通过优化损失函数还考虑了减小模型复杂度。决策树生成学习局部的模型,而决策树剪枝学习整体的模型。
损失函数的极小化等价于正则化的极大似然估计。所以,利用损失函数最小原则进行剪枝就是用正则化的极大似然估计进行模型选择。
下图是决策树剪枝过程的示意图。下面介绍剪枝算法。
输入:生成算法产生的整个树T T T ,参数α \alpha α
输出:修剪后的子树T α T_{\alpha} T α
计算每个结点的经验熵。
递归地从树的叶结点向上回缩。
设一组叶结点回缩到其父结点之前与之后的整体树分别为T B T_{B} T B 与T A T_{A} T A ,其对应的损失函数值分别是C α ( T B ) C_{\alpha}\left(T_{B}\right) C α ( T B ) 和C α ( T A ) C_{\alpha}\left(T_{A}\right) C α ( T A ) ,如果
C α ( T A ) ⩽ C α ( T B ) C_{\alpha}\left(T_{A}\right) \leqslant C_{\alpha}\left(T_{B}\right) C α ( T A ) ⩽ C α ( T B )
则进行剪枝,即将父结点变为新的叶结点。
返回2,直至不能继续为止,得到损失函数最小的子树T α T_{\alpha} T α 。
注意,只需考虑两个树的损失函数的差,其计算可以在局部进行。所以,决策树的剪枝算法可以由一种动态规划的算法实现。
CART 算法
分类与回归树是应用广泛的决策树学习方法。CART同样由特征选择、树的生成及剪枝组成,既可以用于分类也可以用于回归。以下将用于分类与回归的树统称为決策树。
CART 是在给定输入随机变量X X X 条件下输出随机变量Y Y Y 的条件概率分布的学习方法。CART假设决策树是二叉树,内部结点特征的取值为“是”和“否”,左分支是取值为“是”的分支,右分支是取值为“否”的分支。这样的决策树等价于递归地二分每个特征,将输入空间即特征空间划分为有限个单元,并在这些单元上确定预测的概率分布,也就是在输入给定的条件下输出的条件概率分布。
CART算法由以下两步组成:
决策树生成:基于训练数据集生成决策树,生成的决策树要尽量大
决策树剪枝:用验证数据集对已生成的树进行剪枝并选择最优子树,这时用损失函数最小作为剪枝的标准。
CART 生成
决策树的生成就是递归地构建二又决策树的过程。对回归树用平方误差最小化准则,对分类树用基尼指数(Gini index)最小化准则,进行特征选择,生成二叉树。
回归树的生成
假设X X X 与Y Y Y 分别为输入和输出变量,并且Y Y Y 是连续变量,给定训练数据集:
D = { ( x 1 , y 1 ) , ( x 2 , y 2 ) , ⋯ , ( x N , y N ) } D=\left\{\left(x_{1}, y_{1}\right),\left(x_{2}, y_{2}\right), \cdots,\left(x_{N}, y_{N}\right)\right\} D = { ( x 1 , y 1 ) , ( x 2 , y 2 ) , ⋯ , ( x N , y N ) }
考虑如何生成回归树。
一棵回归树对应着输入空间(即特征空间)的一个划分以及在划分的单元上的输出值。假设已将输入空间划分为M M M 个单元R 1 , R 2 , ⋯ , R M R_{1}, R_{2}, \cdots, R_{M} R 1 , R 2 , ⋯ , R M ,并且在每个单元R m R_{m} R m 上有一个固定的输出值c m c_{m} c m ,于是回归树模型可表示为
f ( x ) = ∑ m = 1 M c m I ( x ∈ R m ) f(x)=\sum_{m=1}^{M} c_{m} I\left(x \in R_{m}\right) f ( x ) = ∑ m = 1 M c m I ( x ∈ R m )
当输入空间的划分确定时,可以用平方误差∑ x i ∈ R m ( y i − f ( x i ) ) 2 \sum_{x_{i} \in R_{m}}\left(y_{i}-f\left(x_{i}\right)\right)^{2} ∑ x i ∈ R m ( y i − f ( x i ) ) 2 来表示回归树对于训练数据的预测误差,用平方误差最小的准则求解每个单元上的最优输出值。易知,单元R m R_{m} R m 上的c m c_{m} c m 的最优值c ^ m \hat{c}_{m} c ^ m 是R m R_{m} R m 上的所有输入实例x i \boldsymbol{x}_{i} x i 对应的输出y i y_{i} y i 的均值,即
c ^ m = ave ( y i ∣ x i ∈ R m ) \hat{c}_{m}=\operatorname{ave}\left(y_{i} | x_{i} \in R_{m}\right) c ^ m = a v e ( y i ∣ x i ∈ R m )
问题是怎样对输入空间进行划分。这里采用启发式的方法,选择第j j j 个变量x ( j ) x^{(j)} x ( j ) 和它取的值s s s ,作为切分变量(splitting variable)和切分点(splitting point),并定义两个区域:
R 1 ( j , s ) = { x ∣ x ( j ) ⩽ s } R_{1}(j, s)=\left\{x | x^{(j)} \leqslant s\right\} \quad R 1 ( j , s ) = { x ∣ x ( j ) ⩽ s } 和 R 2 ( j , s ) = { x ∣ x ( j ) > s } \quad R_{2}(j, s)=\left\{x | x^{(j)}>s\right\} R 2 ( j , s ) = { x ∣ x ( j ) > s }
然后寻找最优切分变量j j j 和最优切分点s s s 。具体地,求解
min j , s [ min c 1 ∑ x i ∈ R 1 ( j , s ) ( y i − c 1 ) 2 + min c 2 ∑ x i ∈ R 2 ( j , s ) ( y i − c 2 ) 2 ] \min _{j, s}\left[\min _{c_{1}} \sum_{x_{i} \in R_{1}(j, s)}\left(y_{i}-c_{1}\right)^{2}+\min _{c_{2}} \sum_{x_{i} \in R_{2}(j, s)}\left(y_{i}-c_{2}\right)^{2}\right] min j , s [ min c 1 ∑ x i ∈ R 1 ( j , s ) ( y i − c 1 ) 2 + min c 2 ∑ x i ∈ R 2 ( j , s ) ( y i − c 2 ) 2 ]
对固定输入变量j j j 可以找到最优切分点s s s 。
c ^ 1 = ave ( y i ∣ x i ∈ R 1 ( j , s ) ) \hat{c}_{1}=\operatorname{ave}\left(y_{i} | x_{i} \in R_{1}(j, s)\right) c ^ 1 = a v e ( y i ∣ x i ∈ R 1 ( j , s ) )
c ^ 2 = ave ( y i ∣ x i ∈ R 2 ( j , s ) ) \hat{c}_{2}=\operatorname{ave}\left(y_{i} | x_{i} \in R_{2}(j, s)\right) c ^ 2 = a v e ( y i ∣ x i ∈ R 2 ( j , s ) )
遍历所有输入变量,找到最优的切分变量j j j ,构成一个对( j , s ) (j, s) ( j , s ) 。依此将输入空间划分为两个区域。接着,对每个区域重复上述划分过程,直到满足停止条件为止。这样就生成一棵回归树。这样的回归树通常称为最小二乘回归树(least squares regressionTree),现将算法叙述如下:
最小二乘回归树生成算法:
输入:训练数据集D D D
输出:回归树f ( x ) f(x) f ( x )
在训练数据集所在的输入空间中,递归地将每个区域划分为两个子区域并决定每子区域上的输出值,构建二叉决策树:
选择最优切分变量j j j 与切分点s s s ,求解:
min j , s [ min c 1 ∑ x i ∈ R 1 ( j , s ) ( y i − c 1 ) 2 + min c 2 ∑ x i ∈ R 2 ( j , s ) ( y i − c 2 ) 2 ] \min _{j, s}\left[\min _{c_{1}} \sum_{x_{i} \in R_{1}(j, s)}\left(y_{i}-c_{1}\right)^{2}+\min _{c_{2}} \sum_{x_{i} \in R_{2}(j, s)}\left(y_{i}-c_{2}\right)^{2}\right] min j , s [ min c 1 ∑ x i ∈ R 1 ( j , s ) ( y i − c 1 ) 2 + min c 2 ∑ x i ∈ R 2 ( j , s ) ( y i − c 2 ) 2 ]
遍历变量j j j ,对固定的切分变量j j j 扫描切分点s s s ,选择使上式达到最小值的对( j , s ) (j, s) ( j , s ) 。
3. 用选定的( j , s ) (j, s) ( j , s ) 划分区域并决定相应的输出值:
R 1 ( j , s ) = { x ∣ x ( j ) ⩽ s } , R 2 ( j , s ) = { x ∣ x ( j ) > s } R_{1}(j, s)=\left\{x | x^{(j)} \leqslant s\right\}, \quad R_{2}(j, s)=\left\{x | x^{(j)}>s\right\} R 1 ( j , s ) = { x ∣ x ( j ) ⩽ s } , R 2 ( j , s ) = { x ∣ x ( j ) > s }
c ^ m = 1 N m ∑ x i ∈ R m ( j , s ) y i , x ∈ R m , m = 1 , 2 \hat{c}_{m}=\frac{1}{N_{m}} \sum_{x_{i} \in R_{m}(j, s)} y_{i}, \quad x \in R_{m}, \quad m=1,2 c ^ m = N m 1 ∑ x i ∈ R m ( j , s ) y i , x ∈ R m , m = 1 , 2
继续对两个子区域调用步骤1,2,直至满足停止条件。
将输入空间划分为M M M 个区域R 1 , R 2 , ⋯ , R M R_{1}, R_{2}, \cdots, R_{M} R 1 , R 2 , ⋯ , R M ,生成决策树
f ( x ) = ∑ m = 1 M c ^ m I ( x ∈ R m ) f(x)=\sum_{m=1}^{M} \hat{c}_{m} I\left(x \in R_{m}\right) f ( x ) = ∑ m = 1 M c ^ m I ( x ∈ R m )
分类树的生成
分类树用基尼指数选择最优特征,同时决定该特征的最优二值切分点。
分类问题中,假设有K K K 个类,样本点属于第k k k 类的概率为p k p_{k} p k ,则概率分布的基尼指数定义为:
Gini ( p ) = ∑ k = 1 K p k ( 1 − p k ) = 1 − ∑ k = 1 K p k 2 \operatorname{Gini}(p)=\sum_{k=1}^{K} p_{k}\left(1-p_{k}\right)=1-\sum_{k=1}^{K} p_{k}^{2} G i n i ( p ) = ∑ k = 1 K p k ( 1 − p k ) = 1 − ∑ k = 1 K p k 2
对于二类分类问题,若样本点属于第 1 个类的概率是p p p ,则概率分布的基尼指数为
Gini ( p ) = 2 p ( 1 − p ) \operatorname{Gini}(p)=2 p(1-p) G i n i ( p ) = 2 p ( 1 − p )
对于给定的样本集合D D D ,其基尼指数为:
Gini ( D ) = 1 − ∑ k = 1 K ( ∣ C k ∣ ∣ D ∣ ) 2 \operatorname{Gini}(D)=1-\sum_{k=1}^{K}\left(\frac{\left|C_{k}\right|}{|D|}\right)^{2} G i n i ( D ) = 1 − ∑ k = 1 K ( ∣ D ∣ ∣ C k ∣ ) 2
这里,C k C_{k} C k 是D D D 中属于第k k k 类的样本子集,K K K 是类的个数。
如果样本集合D D D 根据特征A A A 是否取某一可能值a a a 被分割成D 1 D_{1} D 1 和D 2 D_{2} D 2 两部分,即
D 1 = { ( x , y ) ∈ D ∣ A ( x ) = a } , D 2 = D − D 1 D_{1}=\{(x, y) \in D | A(x)=a\}, \quad D_{2}=D-D_{1} D 1 = { ( x , y ) ∈ D ∣ A ( x ) = a } , D 2 = D − D 1
则在特征A A A 的条件下,集合D D D 的基尼指数定义为:
Gini ( D , A ) = ∣ D 1 ∣ ∣ D ∣ Gini ( D 1 ) + ∣ D 2 ∣ ∣ D ∣ Gini ( D 2 ) \operatorname{Gini}(D, A)=\frac{\left|D_{1}\right|}{|D|} \operatorname{Gini}\left(D_{1}\right)+\frac{\left|D_{2}\right|}{|D|} \operatorname{Gini}\left(D_{2}\right) G i n i ( D , A ) = ∣ D ∣ ∣ D 1 ∣ G i n i ( D 1 ) + ∣ D ∣ ∣ D 2 ∣ G i n i ( D 2 )
基尼指数Gini ( D ) \operatorname{Gini}(D) G i n i ( D ) 表示集合D D D 的不确定性,基尼指数Gini ( D , A ) \operatorname{Gini}(D, A) G i n i ( D , A ) 表示经A = a A=a A = a 分割后集合D D D 的不确定性。基尼指数值越大,样本集合的不确定性也就越大,这一点与熵相似。
下图显示二类分类问题中基尼指数Gini ( p ) \operatorname{Gini}(p) G i n i ( p ) 、熵(单位比特)之半H ( p ) / 2 H(p) / 2 H ( p ) / 2 和分类误差率的关系。横坐标表示概率,纵坐标表示损失。可以看出基尼指数和熵之半的曲线很接近,都可以近似地代表分类误差率。
CART生成算法:
输入:训练数据集D D D ,停止计算的条件
输出:CART 决策树
根据训练数据集,从根结点开始,递归地对每个结点进行以下操作,构建二叉决策树:
设结点的训练数据集为D D D ,计算现有特征对该数据集的基尼指数。此时,对每一个特征A A A ,对其可能取的每个值a a a ,根据样本点对A = a A=a A = a 的测试为“是”或“否”将D D D 分割成D 1 D_{1} D 1 和D 2 D_{2} D 2 两部分,计算A = a A=a A = a 时的基尼指数。
在所有可能的特征A A A 以及它们所有可能的切分点a a a 中,选择基尼指数最小的特征及其对应的切分点作为最优特征与最优切分点。依最优特征与最优切分点,从现结点生成两个子结点,将训练数据集依特征分配到两个子结点中去。
对两个子结点递归地调用1,2,直至满足停止条件
生成 CART 决策树。
算法停止计算的条件是结点中的样本个数小于预定阈值,或样本集的基尼指数小于预定阈值(样本基本属于同一类),或者没有更多特征。
CART 剪枝
CART 剪枝算法从“完全生长”的决策树的底端剪去一些子树,使决策树变小(模型变简单),从而能够对未知数据有更准确的预测。CART 剪枝算法由两步组成:首先从生成算法产生的决策树T 0 T_{0} T 0 底端开始不断剪枝,直到T 0 T_{0} T 0 的根结点,形成一个子树序列{ T 0 , T 1 , ⋯ , T n } \left\{T_{0}, T_{1}, \cdots, T_{n}\right\} { T 0 , T 1 , ⋯ , T n } ;然后通过交叉验证法在独立的验证数据集上对子树序列进行测试,从中选择最优子树。
剪枝,形成一个子树序列
在剪枝过程中,计算子树的损失函数
C α ( T ) = C ( T ) + α ∣ T ∣ C_{\alpha}(T)=C(T)+\alpha|T| C α ( T ) = C ( T ) + α ∣ T ∣
其中,T T T 为任意子树,C ( T ) C(T) C ( T ) 为对训练数据的预测误差(如基尼指数),∣ T ∣ |T| ∣ T ∣ 为子树的叶结点个数,α ⩾ 0 \alpha \geqslant 0 α ⩾ 0 为参数,C α ( T ) C_{\alpha}(T) C α ( T ) 为参数是α \alpha α 时的子树的整体损失。参数α \alpha α 权衡训练数据的拟合程度与模型的复杂度。
对固定的α \alpha α ,一定存在使损失函数C α ( T ) C_{\alpha}(T) C α ( T ) 最小的子树,将其表示为T α T_{\alpha} T α 。T α T_{\alpha} T α 在损失函数C α ( T ) C_{\alpha}(T) C α ( T ) 最小的意义下是最优的。容易验证这样的最优子树是唯一的。当α \alpha α 大的时候,最优子树T α T_{\alpha} T α 偏小;当α \alpha α 小的时候,最优子树T α T_{\alpha} T α 偏大。极端情况,当α = 0 \alpha=0 α = 0 时,整体树是最优的。当α → ∞ \alpha \rightarrow \infty α → ∞ 时,根结点组成的单结点树是最优的。
Breiman 等人证明:可以用递归的方法对树进行剪枝。将α \alpha α 从小增大,0 = α 0 < 0=\alpha_{0}< 0 = α 0 < α 1 < ⋯ < α n < + ∞ \alpha_{1}<\cdots<\alpha_{n}<+\infty α 1 < ⋯ < α n < + ∞ ,产生一系列的区间[ α i , α i + 1 ) , i = 0 , 1 , ⋯ , n \left[\alpha_{i}, \alpha_{i+1}\right), i=0,1, \cdots, n [ α i , α i + 1 ) , i = 0 , 1 , ⋯ , n ,剪枝得到的子树序列对应着区间α ∈ [ α i , α i + 1 ) , i = 0 , 1 , ⋯ , n \alpha \in\left[\alpha_{i}, \alpha_{i+1}\right), i=0,1, \cdots, n α ∈ [ α i , α i + 1 ) , i = 0 , 1 , ⋯ , n 的最优子树序列{ T 0 , T 1 , ⋯ , T n } \left\{T_{0}, T_{1}, \cdots, T_{n}\right\} { T 0 , T 1 , ⋯ , T n } ,序列中的子树是嵌套的。
具体地,从整体树T 0 T_{0} T 0 开始剪枝。对T 0 T_{0} T 0 的任意内部结点t t t ,以t t t 为单结点树的损失函数是:
C α ( t ) = C ( t ) + α C_{\alpha}(t)=C(t)+\alpha C α ( t ) = C ( t ) + α
以t t t 为根结点的子树T T T 的损失函数是:
C α ( T t ) = C ( T t ) + α ∣ T t ∣ C_{\alpha}\left(T_{t}\right)=C\left(T_{t}\right)+\alpha\left|T_{t}\right| C α ( T t ) = C ( T t ) + α ∣ T t ∣
当α = 0 \alpha=0 α = 0 及α \alpha α 充分小时,有不等式
C α ( T t ) < C α ( t ) C_{\alpha}\left(T_{t}\right)<C_{\alpha}(t) C α ( T t ) < C α ( t )
当α \alpha α 增大时,在某一α \alpha α 有
C α ( T t ) = C α ( t ) C_{\alpha}\left(T_{t}\right)=C_{\alpha}(t) C α ( T t ) = C α ( t )
当α \alpha α 再增大时,不等式反向。只要α = C ( t ) − C ( T t ) ∣ T t ∣ − 1 \alpha=\frac{C(t)-C\left(T_{t}\right)}{\left|T_{t}\right|-1} α = ∣ T t ∣ − 1 C ( t ) − C ( T t ) ,T t T_{t} T t 与t t t 有相同的损失函数值,而t t t 的结点少,因此t t t 比T t T_{t} T t 更可取,对T t T_{t} T t 进行剪枝。
为此,对T 0 T_{0} T 0 中每一内部结点t t t ,计算
g ( t ) = C ( t ) − C ( T t ) ∣ T t ∣ − 1 g(t)=\frac{C(t)-C\left(T_{t}\right)}{\left|T_{t}\right|-1} g ( t ) = ∣ T t ∣ − 1 C ( t ) − C ( T t )
它表示剪枝后整体损失函数减少的程度。在T 0 T_{0} T 0 中剪去g ( t ) g(t) g ( t ) 最小的T t T_{t} T t ,将得到的子树作为T 1 T_{1} T 1 , 同时将最小的g ( t ) g(t) g ( t ) 设为α 1 \alpha_{1} α 1 。T 1 T_{1} T 1 为区间[ α 1 , α 2 ) \left[\alpha_{1}, \alpha_{2}\right) [ α 1 , α 2 ) 的最优子树。
在剪枝得到的子树序列T 0 , T 1 , ⋯ , T n T_{0}, T_{1}, \cdots, T_{n} T 0 , T 1 , ⋯ , T n 中通过交又验证选取最优子树T α T_{\alpha} T α
具体地,利用独立的验证数据集,测试子树序列T 0 , T 1 , ⋯ , T n T_{0}, T_{1}, \cdots, T_{n} T 0 , T 1 , ⋯ , T n 中各棵子树的平方误差或基尼指数。平方误差或基尼指数最小的决策树被认为是最优的决策树。在子树序列中,每棵子树T 1 , T 2 , ⋯ , T n T_{1}, T_{2}, \cdots, T_{n} T 1 , T 2 , ⋯ , T n 都对应于一个参数α 1 , α 2 , ⋯ , α n \alpha_{1}, \alpha_{2}, \cdots, \alpha_{n} α 1 , α 2 , ⋯ , α n 。所以,当最优子树T k T_{k} T k 确定时,对应的α k \alpha_{k} α k 也确定了,即得到最优决策树T α T_{\alpha} T α 。
CART 剪枝算法
输入:CART 算法生成的决策树T 0 T_{0} T 0 ;
输出:最优决策树T α T_{\alpha} T α 。
设k = 0 , T = T 0 k=0, T=T_{0} k = 0 , T = T 0 。
设 α = + ∞ \alpha=+\infty α = + ∞ 。
自下而上地对各内部结点t t t 计算C ( T t ) , ∣ T t ∣ C\left(T_{t}\right),\left|T_{t}\right| C ( T t ) , ∣ T t ∣ 以及:
g ( t ) = C ( t ) − C ( T t ) ∣ T t ∣ − 1 α = min ( α , g ( t ) ) \begin{aligned} g(t) &=\frac{C(t)-C\left(T_{t}\right)}{\left|T_{t}\right|-1} \\ \alpha &=\min (\alpha, g(t)) \end{aligned} g ( t ) α = ∣ T t ∣ − 1 C ( t ) − C ( T t ) = min ( α , g ( t ) )
这里,T t T_{t} T t 表示以t t t 为根结点的子树,C ( T t ) C\left(T_{t}\right) C ( T t ) 是对训练数据的预测误差,∣ T t ∣ \left|T_{t}\right| ∣ T t ∣ 是T t T_{t} T t 的叶结点个数。
4. 对g ( t ) = α g(t)=\alpha g ( t ) = α 的内部结点t t t 进行剪枝,并对叶结点t t t 以多数表决法决定其类,得到树T T T 。
5. 设k = k + 1 , α k = α , T k = T k=k+1, \alpha_{k}=\alpha, T_{k}=T k = k + 1 , α k = α , T k = T 。
6. 如果T k T_{k} T k 不是由根结点及两个叶结点构成的树,则回到步骤2;否则令T k = T n T_{k}=T_{n} T k = T n 。
7. 采用交叉验证法在子树序列T 0 , T 1 , ⋯ , T n T_{0}, T_{1}, \cdots, T_{n} T 0 , T 1 , ⋯ , T n 中选取最优子树T α T_{\alpha} T α 。
决策树(《机器学习》)
基本流程
一般的,一棵决策树包含一个根结点、若干个内部结点和若干个叶结点;叶结点对应于决策结果,其他每个结点则对应于一个属性测试;每个结点包含的样本集合根据属性测试的结果被划分到子结点中;根结点包含样本全集。从根结点到每个叶结点的路径对应了一个判定测试序列。决策树学习的目的是为了产生一棵泛化能力强,即处理未见示例能力强的决策树,其基本流程遵循简单且直观的“分而治之”(divide-and-conquer)策略。
决策树的构造是一个递归的过程,有三种情形会导致递归返回:
当前结点包含的样本全属于同一类别,这时直接将该节点标记为叶节点,并设为相应的类别;
当前属性集为空,或是所有样本在所有属性上取值相同,无法划分,这时将该节点标记为叶节点,并将其类别设为该节点所含样本最多的类别;
当前结点包含的样本集合为空,不能划分,这时也将该节点标记为叶节点,并将其类别设为父节点中所含样本最多的类别。
注意(2),(3)这两种情形的处理实质不同:情形(2) 是在利用当前结点的后验分布 ,而情形(3) 则是把父结点的样本分布作为当前结点的先验分布 。
算法的基本流程如下图所示:
划分选择
由算法可看出,决策树学习的关键是如何选择最优划分属性。一般而言,随着划分过程不断进行,我们希望决策树的分支结点所包含的样本尽可能属于同一类别,即结点的“纯度”(purity)越来越高。
信息増益(ID3)
“信息熵”(informationentropy)是度量样本集合纯度最常用的一种指标。假定当前样本集合D D D 中第k k k 类样本所占的比例为p k ( k = 1 , 2 , … , ∣ Y ∣ ) p_{k}(k=1,2, \ldots,|\mathcal{Y}|) p k ( k = 1 , 2 , … , ∣ Y ∣ ) ,则D D D 的信息熵定义为
Ent ( D ) = − ∑ k = 1 ∣ Y ∣ p k log 2 p k \operatorname{Ent}(D)=-\sum_{k=1}^{|\mathcal{Y}|} p_{k} \log _{2} p_{k} E n t ( D ) = − ∑ k = 1 ∣ Y ∣ p k log 2 p k
Ent ( D ) \operatorname{Ent}(D) E n t ( D ) 的值越小,则D D D 的纯度越高。
计算信息熵时约定:若p = 0 p=0 p = 0 ,则p log 2 p = 0 p \log _{2} p=0 p log 2 p = 0 。
E n t ( D ) E n t(D) E n t ( D ) 的最小值为 0,最大值为log 2 ∣ Y ∣ \log _{2}|\mathcal{Y}| log 2 ∣ Y ∣
假定离散属性a a a 有V V V 个可能的取值{ a 1 , a 2 , … , a V } \left\{a^{1}, a^{2}, \ldots, a^{V}\right\} { a 1 , a 2 , … , a V } ,若使用a a a 来对样本集D D D 进行划分,则会产生V V V 个分支结点,其中第v \mathcal{v} v 个分支结点包含了D D D 中所有在属性a a a 上取值为a v a^{v} a v 的样本,记为D v D^{v} D v .我们可根据信息熵公式计算出D v D^{v} D v 的信息熵,再考虑到不同的分支结点所包含的样本数不同,给分支结点赋予权重∣ D v ∣ / ∣ D ∣ \left|D^{v}\right| /|D| ∣ D v ∣ / ∣ D ∣ ,即样本数越多的分支结点的影响越大,于是可计算出用属性a a a 对样本集D D D 进行划分所获得的“信息增益”(information gain):
Gain ( D , a ) = Ent ( D ) − ∑ v = 1 V ∣ D v ∣ ∣ D ∣ Ent ( D v ) \operatorname{Gain}(D, a)=\operatorname{Ent}(D)-\sum_{v=1}^{V} \frac{\left|D^{v}\right|}{|D|} \operatorname{Ent}\left(D^{v}\right) G a i n ( D , a ) = E n t ( D ) − ∑ v = 1 V ∣ D ∣ ∣ D v ∣ E n t ( D v )
一般而言,信息增益越大,则意味着使用属性a a a 来进行划分所获得的“纯度提升”越大。因此,我们可用信息增益来进行决策树的划分属性选择,即选择属性:
a ∗ = arg max a ∈ A Gain ( D , a ) a_{*}=\underset{a \in A}{\arg \max } \operatorname{Gain}(D, a) a ∗ = a ∈ A arg max G a i n ( D , a )
著名的ID3决策树学习算法就是以信息增益为准则来选择划分属性。
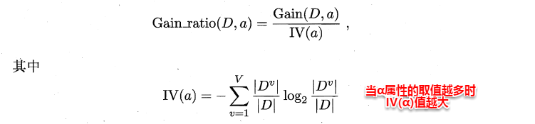
增益率(ID4.5)
实际上,信息增益准则对可取值数目较多的属性有所偏好,为减少这种偏好可能带来的不利影响,著名的 C4.5 决策树算法不直接使用信息增益,而是使用“增益率”(gain ratio)来选择最优划分属性。增益率定义为:
Gain_ratio ( D , a ) = Gain ( D , a ) IV ( a ) (D, a)=\frac{\operatorname{Gain}(D, a)}{\operatorname{IV}(a)} ( D , a ) = I V ( a ) G a i n ( D , a )
其中:
I V ( a ) = − ∑ v = 1 V ∣ D v ∣ ∣ D ∣ log 2 ∣ D v ∣ ∣ D ∣ \mathrm{IV}(a)=-\sum_{v=1}^{V} \frac{\left|D^{v}\right|}{|D|} \log _{2} \frac{\left|D^{v}\right|}{|D|} I V ( a ) = − ∑ v = 1 V ∣ D ∣ ∣ D v ∣ log 2 ∣ D ∣ ∣ D v ∣
称为属性a a a 的“固有值”(intrinsic value)。属性a a a 的可能取值数目越多(即V V V 越大),则I V ( a ) \mathrm{IV}(a) I V ( a ) 的值通常会越大。
需注意的是,增益率准则对可取值数目较少的属性有所偏好,因此,C4.5算法并不是直接选择增益率最大的候选划分属性,而是使用了一个启发式:先从候选划分属性中找出信息增益高于平均水平的属性,再从中选择增益率最高的。
基尼指数
CART决策树使用“基尼指数”(Gini index)来选择划分属性。数据集 D 的纯度可用基尼值来度量:
Gini ( D ) = ∑ k = 1 ∣ Y ∣ ∑ k ′ ≠ k p k p k ′ = 1 − ∑ k = 1 ∣ Y ∣ p k 2 \begin{aligned} \operatorname{Gini}(D) &=\sum_{k=1}^{|\mathcal{Y}|} \sum_{k^{\prime} \neq k} p_{k} p_{k^{\prime}} \\ &=1-\sum_{k=1}^{|\mathcal{Y}|} p_{k}^{2} \end{aligned} G i n i ( D ) = k = 1 ∑ ∣ Y ∣ k ′ = k ∑ p k p k ′ = 1 − k = 1 ∑ ∣ Y ∣ p k 2
直观来说,Gini ( D ) \operatorname{Gini}(D) G i n i ( D ) 反映了从数据集D D D 中随机抽取两个样本,其类别标记不一致的概率。因此,Gini ( D ) \operatorname{Gini}(D) G i n i ( D ) 越小,则数据集D D D 的纯度越高。
属性a a a 的基尼指数定义为Gini_index ( D , a ) = ∑ v = 1 V ∣ D v ∣ ∣ D ∣ Gini ( D v ) (D, a)=\sum_{v=1}^{V} \frac{\left|D^{v}\right|}{|D|} \operatorname{Gini}\left(D^{v}\right) ( D , a ) = ∑ v = 1 V ∣ D ∣ ∣ D v ∣ G i n i ( D v )
于是,我们在候选属性集合A A A 中,选择那个使得划分后基尼指数最小的属性作为最优划分属性,即a ∗ = arg min a ∈ A a_{*}=\underset{a \in A}{\arg \min } a ∗ = a ∈ A arg min Gini_index ( D , a ) (D, a) ( D , a ) 。
剪枝处理
剪枝(pruning)是决策树学习算法对付“过拟合”的主要手段。在决策树学习中,为了尽可能正确分类训练样本,结点划分过程将不断重复,有时会造成决策树分支过多,这时就可能因训练样本学得“太好”了,以致于把训练集自身的一些特点当作所有数据都具有的一般性质而导致过拟合。因此,可通过主动。去掉一些分支来降低过拟合的风险。
决策树剪枝的基本策略有“预剪枝”(prepruning)和“后剪枝”(post- pruning)。预剪枝是指在决策树生成过程中,对每个结点在划分前先进行估计,若当前结点的划分不能带来决策树泛化性能提升,则停止划分并将当前结点标记为叶结点;后剪枝则是先从训练集生成一棵完整的决策树,然后自底向上地对非叶结点进行考察,若将该结点对应的子树替换为叶结点能带来决策树泛化性能提升,则将该子树替换为叶结点。
预剪枝
预剪枝使得决策树的很多分支都没有“展开”,这不仅降低了过拟合的风险,还显著减少了决策树的训练时间开销和测试时间开销。但另一方面,有些分支的当前划分虽不能提升泛化性能、甚至可能导致泛化性能暂时下降,但在其基础上进行的后续划分却有可能导致性能显著提高;预剪枝基于“贪心”本质禁止这些分支展开,给预剪枝决策树带来了欠拟合的风险。
后剪枝
后剪枝决策树通常比预剪枝决策树保留了更多的分支。一般情形下,后剪枝决策树的欠拟合风险很小,泛化性能往往优于预剪枝决策树。但后剪枝过程是在生成完全决策树之后进行的,并且要自底向,上地对树中的所有非叶结点进行逐一考察,因此其训练时间开销比未剪枝决策树和预剪枝决策树都要大得多。
连续与缺失值
连续值处理
由于连续属性的可取值数目不再有限,因此,不能直接根据连续属性的可取值来对结点进行划分。此时,连续属性离散化技术可派上用场。最简单的策略是采用二分法(bi-partition)对连续属性进行处理,这正是 C4.5 决策树算法中采用的机制.
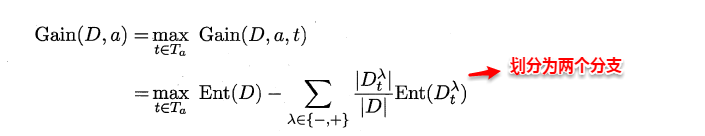
给定样本集D D D 和连续属性a a a ,假定a a a 在D D D 上出现了n n n 个不同的取值,将这些值从小到大进行排序,记为{ a 1 , a 2 , … , a n } \left\{a^{1}, a^{2}, \ldots, a^{n}\right\} { a 1 , a 2 , … , a n } 。基于划分点t t t 可将D D D 分为子集D t − D_{t}^{-} D t − 和D t + D_{t}^{+} D t + ,其中D t − D_{t}^{-} D t − 包含那些在属性a a a 上取值不大于t t t 的样本,而D t + D_{t}^{+} D t + 则包含那些在属性a a a 上取值大于t t t 的样本,显然,对相邻的属性取值a i a^{i} a i 与a i + 1 a^{i+1} a i + 1 来说,t t t 在区间[ a i , a i + 1 ) \left[a^{i}, a^{i+1}\right) [ a i , a i + 1 ) 中取任意值所产生的划分结果相同。因此,对连续属性a a a ,我们可考察包含n − 1 n-1 n − 1 个元素的候选划分点集合:
T a = { a i + a i + 1 2 ∣ 1 ⩽ i ⩽ n − 1 } T_{a}=\left\{\frac{a^{i}+a^{i+1}}{2} | 1 \leqslant i \leqslant n-1\right\} T a = { 2 a i + a i + 1 ∣ 1 ⩽ i ⩽ n − 1 }
可将划分点设为该属性在训练集中出现的不大于中位点的最大值,从而使得最终决策树使用的划分点都在训练集中出现过.
即把区间[ a i , a i + 1 ) \left[a^{i}, a^{i+1}\right) [ a i , a i + 1 ) 的中位点a i + a i + 1 2 \frac{a^{i}+a^{i+1}}{2} 2 a i + a i + 1 作为候选划分点。然后,我们就可像离散属性值一样来考察这些划分点,选取最优的划分点进行样本集合的划分。例如,
Gain ( D , a ) = max t ∈ T a Gain ( D , a , t ) = max t ∈ T a Ent ( D ) − ∑ λ ∈ { − , + } ∣ D t λ ∣ ∣ D ∣ Ent ( D t λ ) \begin{aligned} \operatorname{Gain}(D, a) &=\max _{t \in T_{a}} \operatorname{Gain}(D, a, t) \\ &=\max _{t \in T_{a}} \operatorname{Ent}(D)-\sum_{\lambda \in\{-,+\}} \frac{\left|D_{t}^{\lambda}\right|}{|D|} \operatorname{Ent}\left(D_{t}^{\lambda}\right) \end{aligned} G a i n ( D , a ) = t ∈ T a max G a i n ( D , a , t ) = t ∈ T a max E n t ( D ) − λ ∈ { − , + } ∑ ∣ D ∣ ∣ ∣ D t λ ∣ ∣ E n t ( D t λ )
其中Gain ( D , a , t ) \operatorname{Gain}(D, a, t) G a i n ( D , a , t ) 是样本集D D D 基于划分点t t t 二分后的信息增益。于是,我们就可选择使Gain ( D , a , t ) \operatorname{Gain}(D, a, t) G a i n ( D , a , t ) 最大化的划分点。
需注意的是,与离散属性不同,若当前结点划分属性为连续属性,该属性还可作为其后代结点的划分属性。
例如在父结点上使用了“密度≤0.381”,不会禁止在子结点上使用“密度≤0.294”
缺失值处理
现实任务中常会遇到不完整样本,即样本的某些属性值缺失。例如由于诊测成本、隐私保护等因素,患者的医疗数据在某些属性上的取值(如 HIV 测试结果)未知;尤其是在属性数目较多的情况下,往往会有大量样本出现缺失值。如果简单地放弃不完整样本,仅使用无缺失值的样本来进行学习,显然是对数表示算法的空间或时间会随着输入规模的增大而增大
现实任务中常会遇到不完整样本,即样本的某些属性值缺失。例如由于诊测成本、隐私保护等因素,患者的医疗数据在某些属性上的取值(如 HIV 测试结果)未知;尤其是在属性数目较多的情况下,往往会有大量样本出现缺失值。如果简单地放弃不完整样本,仅使用无缺失值的样本来进行学习,显然是对数据信息极大的浪费。
我们需解决两个问题:
如何在属性值缺失的情况下进行划分属性选择?
给定划分属性,若样本在该属性上的值缺失,如何对样本进行划分?
给定训练集D D D 和属性a \boldsymbol{a} a ,令D ~ \tilde{D} D ~ 表示D D D 中在属性a a a 上没有缺失值的样本子集。对问题(1),显然我们仅可根据D ~ \tilde{D} D ~ 来判断属性a a a 的优劣。假定属性a a a 有V V V 个可取值{ a 1 , a 2 , … , a V } \left\{a^{1}, a^{2}, \ldots, a^{V}\right\} { a 1 , a 2 , … , a V } ,令D ~ v \tilde{D}^{v} D ~ v 表示D ~ \tilde{D} D ~ 中在属性a a a 上取值为a v a^{v} a v 的样本子集,D ~ k \tilde{D}_{k} D ~ k 表示D ~ \tilde{D} D ~ 中属于第k k k 类( k = 1 , 2 , … , ∣ Y ∣ ) (k=1,2, \ldots,|\mathcal{Y}|) ( k = 1 , 2 , … , ∣ Y ∣ ) 的样本子集,则显然有D ~ = ⋃ k = 1 ∣ Y ∣ D ~ k \tilde{D}=\bigcup_{k=1}^{|\mathcal{Y}|} \tilde{D}_{k} D ~ = ⋃ k = 1 ∣ Y ∣ D ~ k ,D ~ = ⋃ v = 1 V D ~ v \tilde{D}=\bigcup_{v=1}^{V} \tilde{D}^{v} D ~ = ⋃ v = 1 V D ~ v ,假定我们为每个样本x \boldsymbol{x} x 赋予一个权重w x w_{x} w x ,并定义:
ρ = ∑ x ∈ D ~ w x ∑ x ∈ D w x p ~ k = ∑ x ∈ D ~ k w x ∑ x ∈ D ~ w x ( 1 ⩽ k ⩽ ∣ Y ∣ ) r ~ v = ∑ x ∈ D ~ v w x ∑ x ∈ D ~ w x ( 1 ⩽ v ⩽ V ) \begin{aligned} \rho &=\frac{\sum_{\boldsymbol{x} \in \tilde{D}} w_{\boldsymbol{x}}}{\sum_{\boldsymbol{x} \in D} w_{\boldsymbol{x}}} \\ \tilde{p}_{k} &=\frac{\sum_{\boldsymbol{x} \in \tilde{D}_{k}} w_{\boldsymbol{x}}}{\sum_{\boldsymbol{x} \in \tilde{D}} w_{\boldsymbol{x}}} \quad(1 \leqslant k \leqslant|\mathcal{Y}|) \\ \tilde{r}_{v} &=\frac{\sum_{\boldsymbol{x} \in \tilde{D}^{v}} w_{\boldsymbol{x}}}{\sum_{\boldsymbol{x} \in \tilde{D}} w_{\boldsymbol{x}}} \quad(1 \leqslant v \leqslant V) \end{aligned} ρ p ~ k r ~ v = ∑ x ∈ D w x ∑ x ∈ D ~ w x = ∑ x ∈ D ~ w x ∑ x ∈ D ~ k w x ( 1 ⩽ k ⩽ ∣ Y ∣ ) = ∑ x ∈ D ~ w x ∑ x ∈ D ~ v w x ( 1 ⩽ v ⩽ V )
直观地看,对属性a , ρ a, \rho a , ρ ,表示无缺失值样本所占的比例,p ~ k \tilde{p}_{k} p ~ k 表示无缺失值样本中第k k k 类所占的比例,r ~ v \tilde{\boldsymbol{r}}_{\boldsymbol{v}} r ~ v 则表示无缺失值样本中在属性a a a 上取值a v a^{v} a v 的样本所占的比例。显然,∑ k = 1 ∣ Y ∣ p ~ k = 1 , ∑ v = 1 V r ~ v = 1 \sum_{k=1}^{|\mathcal{Y}|} \tilde{p}_{k}=1, \sum_{v=1}^{V} \tilde{r}_{v}=1 ∑ k = 1 ∣ Y ∣ p ~ k = 1 , ∑ v = 1 V r ~ v = 1 。
基于。上述定义,我们可将信息增益的计算式推广为:
Gain ( D , a ) = ρ × Gain ( D ~ , a ) = ρ × ( Ent ( D ~ ) − ∑ v = 1 V r ~ v Ent ( D ~ v ) ) \begin{aligned} \operatorname{Gain}(D, a) &=\rho \times \operatorname{Gain}(\tilde{D}, a) \\ &=\rho \times\left(\operatorname{Ent}(\tilde{D})-\sum_{v=1}^{V} \tilde{r}_{v} \operatorname{Ent}\left(\tilde{D}^{v}\right)\right) \end{aligned} G a i n ( D , a ) = ρ × G a i n ( D ~ , a ) = ρ × ( E n t ( D ~ ) − v = 1 ∑ V r ~ v E n t ( D ~ v ) )
Ent ( D ~ ) = − ∑ k = 1 ∣ Y ∣ p ~ k log 2 p ~ k \operatorname{Ent}(\tilde{D})=-\sum_{k=1}^{|\mathcal{Y}|} \tilde{p}_{k} \log _{2} \tilde{p}_{k} E n t ( D ~ ) = − ∑ k = 1 ∣ Y ∣ p ~ k log 2 p ~ k
对问题(2),若样本x \boldsymbol{x} x 在划分属性a a a 上的取值已知,则将x x x 划入与其取值对应的子结点,且样本权值在子结点中保持为w x w_{x} w x 。若样本x x x 在划分属性a a a 上的取值未知,则将x \boldsymbol{x} x 同时划入所有子结点,且样本权值在与属性值a v a^{v} a v 对应的子结点中调整为r ~ v ⋅ w x \tilde{\boldsymbol{r}}_{\boldsymbol{v}} \cdot \boldsymbol{w}_{\boldsymbol{x}} r ~ v ⋅ w x ,直观地看,这就是让同一个样本以不同的概率划入到不同的子结点中去。
C4.5 算法使用了上述解决方案。
多变量决策树
若我们把每个属性视为坐标空间中的一个坐标轴,则d d d 个属性描述的样本就对应了d d d 维空间中的-一个数据点;对样本分类则意味着在这个坐标空间中寻找不同类样本之间的分类边界。决策树所形成的分类边界有一个明显的特点:轴平行(axis- parallel),即它的分类边界由若干个与坐标轴平行的分段组成。
显然,分类边界的每一段都是与坐标轴平行的。这样的分类边界使得学习结果有较好的可解释性,因为每一段划分都直接对应了某个属性取值。但在学习任务的真实分类边界比较复杂时,必须使用很多段划分才能获得较好的近似,此时的决策树会相当复杂,由于要进行大量的属性测试,预测时间开销会很大。
若能使用斜的划分边界,如图中红色线段所示,则决策树模型将大为简化。“多变量决策树”(multivariate decision tree)就是能实现这样的“斜划分”甚至更复杂划分的决策树。这样的多变量决策树亦称“斜决策树”(oblique decision tree).以实现斜划分的多变量决策树为例,在此类决策树中,非叶结点不再是仅对某个属性,而是对属性的线性组合进行测试;换言之,每个非叶结点是一个形如∑ i = 1 d w i a i = t \sum_{i=1}^{d} w_{i} a_{i}=t ∑ i = 1 d w i a i = t 的线性分类器,其中w i w_{i} w i 是属性a i a_{i} a i 的权重,w i w_{i} w i 和t t t 可在该结点所含的样本集和属性集上学得。于是,与传统的“单变量决策树”(univariatedecisiontree)不同,在多变量决策树的学习过程中,不是为每个非叶结点寻找一个最优划分属性,而是试图建立一个合适的线性分类器。
提升方法
提升(boosting)方法是一种常用的统计学习方法,应用广泛且有效。在分类问题中,它通过改变训练样本的权重,学习多个分类器,并将这些分类器进行线性组合,提高分类的性能。
提升方法 AdaBoost 算法
提升方法的基本思路
提升方法基于这样一种思想:对于一个复杂任务来说,将多个专家的判断进行适当的综合所得出的判断,要比其中任何一个专家单独的判断好。实际上,就是“三个臭皮匠顶个诸葛亮”的道理。
历史上,Kearns 和 Valiant 首先提出了“强可学习”(strongly learnable)和“弱可学习”(weakly learnable)的概念。指出:在概率近似正确(probably approximately correct, PAC)学习的框架中,一个概念(一个类),如果存在一个多项式的学习算法能够学习它,并且正确率很高,那么就称这个概念是强可学习的;一个概念,如果存在个多项式的学习算法能够学习它,学习的正确率仅比随机猜测略好,那么就称这个概念是弱可学习的。非常有趣的是 Schapire 后来证明强可学习与弱可学习是等价的,也就是说,在 PAC 学习的框架下,一个概念是强可学习的充分必要条件是这个概念是弱可学习的。
这样一来,问题便成为,在学习中,如果已经发现了“弱学习算法”,那么能否将它提升(boost)为“强学习算法”。大家知道,发现弱学习算法通常要比发现强学习算法容易得多。那么如何具体实施提升,便成为开发提升方法时所要解决的问题。关于提升方法的研究很多,有很多算法被提出。最具代表性的是 Adaboost 算法(Adaboost algorithm)
对于分类问题而言,给定一个训练样本集,求比较粗糙的分类规则(弱分类器)要比求精确的分类规则(强分类器)容易得多。提升方法就是从弱学习算法出发,反复学习,得到一系列弱分类器(又称为基本分类器),然后组合这些弱分类器,构成一个强分类器。大多数的提升方法都是改变训练数据的概率分布(训练数据的权值分布),针对不同的训练数据分布调用弱学习算法学习一系列弱分类器。
这样,对提升方法来说,有两个问题需要回答:一是在每一轮如何改变训练数据的权值或概率分布;二是如何将弱分类器组合成一个强分类器。关于第 1 个问
题,Adaboost 的做法是,提高那些被前一轮弱分类器错误分类样本的权值,而降低那些被正确分类样本的权值。这样一来,那些没有得到正确分类的数据,由于其权值的加大而受到后一轮的弱分类器的更大关注。于是,分类问题被一系列的弱分类器“分而治之”。至于第 2 个问题,即弱分类器的组合,Adaboost 采取加权多数表决的方法。具体地,加大分类误差率小的弱分类器的权值,使其在表决中起较大的作用;减小分类误差率大的弱分类器的权值,使其在表决中起较小的作用。
AdaBoost 算法
假设给定一个二类分类的训练数据集:
T = { ( x 1 , y 1 ) , ( x 2 , y 2 ) , ⋯ , ( x N , y N ) } T=\left\{\left(x_{1}, y_{1}\right),\left(x_{2}, y_{2}\right), \cdots,\left(x_{N}, y_{N}\right)\right\} T = { ( x 1 , y 1 ) , ( x 2 , y 2 ) , ⋯ , ( x N , y N ) }
其中,每个样本点由实例与标记组成。实例x i ∈ X ⊆ R n x_{i} \in \mathcal{X} \subseteq \mathbf{R}^{n} x i ∈ X ⊆ R n ,标记y i ∈ Y = { − 1 , + 1 } y_{i} \in \mathcal{Y}=\{-1,+1\} y i ∈ Y = { − 1 , + 1 } ,X \mathcal{X} X 是实例空间,Y \mathcal{Y} Y 是标记集合。Adaboost 利用以下算法,从训练数据中学习一系列弱分类器或基本分类器,并将这些弱分类器线性组合成为一个强分类器。
输入:训练数据集 T=T = { ( x 1 , y 1 ) , ( x 2 , y 2 ) , ⋯ , ( x N , y N ) } T=\left\{\left(x_{1}, y_{1}\right),\left(x_{2}, y_{2}\right), \cdots,\left(x_{N}, y_{N}\right)\right\} T = { ( x 1 , y 1 ) , ( x 2 , y 2 ) , ⋯ , ( x N , y N ) } ,其中x i ∈ X ⊆ R n x_{i} \in \mathcal{X} \subseteq \mathbf{R}^{n} x i ∈ X ⊆ R n ,y i ∈ y_{i} \in y i ∈ Y = { − 1 , + 1 } \mathcal{Y}=\{-1,+1\} Y = { − 1 , + 1 } ,弱学习算法;
输出:最终分类器G ( x ) G(x) G ( x ) 。
初始化训练数据的权值分布
D 1 = ( w 11 , ⋯ , w 1 i , ⋯ , w 1 N ) , w 1 i = 1 N , i = 1 , 2 , ⋯ , N D_{1}=\left(w_{11}, \cdots, w_{1 i}, \cdots, w_{1 N}\right), \quad w_{1 i}=\frac{1}{N}, \quad i=1,2, \cdots, N D 1 = ( w 1 1 , ⋯ , w 1 i , ⋯ , w 1 N ) , w 1 i = N 1 , i = 1 , 2 , ⋯ , N
对 m = 1 , 2 , ⋯ , M m=1,2, \cdots, M m = 1 , 2 , ⋯ , M
(a)使用具有权值分布D m D_{m} D m 的训练数据集学习,得到基本分类器
G m ( x ) : X → { − 1 , + 1 } G_{m}(x): \mathcal{X} \rightarrow\{-1,+1\} G m ( x ) : X → { − 1 , + 1 }
(b)计算G m ( x ) G_{m}(x) G m ( x ) 在训练数据集上的分类误差率
e m = ∑ i = 1 N P ( G m ( x i ) ≠ y i ) = ∑ i = 1 N w m i I ( G m ( x i ) ≠ y i ) e_{m}=\sum_{i=1}^{N} P\left(G_{m}\left(x_{i}\right) \neq y_{i}\right)=\sum_{i=1}^{N} w_{m i} I\left(G_{m}\left(x_{i}\right) \neq y_{i}\right) e m = ∑ i = 1 N P ( G m ( x i ) = y i ) = ∑ i = 1 N w m i I ( G m ( x i ) = y i )
(c)计算G m ( x ) G_{m}(x) G m ( x ) 的系数
α m = 1 2 log 1 − e m e m \alpha_{m}=\frac{1}{2} \log \frac{1-e_{m}}{e_{m}} α m = 2 1 log e m 1 − e m
这里的对数是自然对数。
(d)更新训练数据集的权值分布
D m + 1 = ( w m + 1 , 1 , ⋯ , w m + 1 , i , ⋯ , w m + 1 , N ) D_{m+1}=\left(w_{m+1,1}, \cdots, w_{m+1, i}, \cdots, w_{m+1, N}\right) D m + 1 = ( w m + 1 , 1 , ⋯ , w m + 1 , i , ⋯ , w m + 1 , N )
w m + 1 , i = w m i Z m exp ( − α m y i G m ( x i ) ) , i = 1 , 2 , ⋯ , N w_{m+1, i}=\frac{w_{m i}}{Z_{m}} \exp \left(-\alpha_{m} y_{i} G_{m}\left(x_{i}\right)\right), \quad i=1,2, \cdots, N w m + 1 , i = Z m w m i exp ( − α m y i G m ( x i ) ) , i = 1 , 2 , ⋯ , N
这里,Z m Z_{m} Z m 是规范化因子:
Z m = ∑ i = 1 N w m i exp ( − α m y i G m ( x i ) ) Z_{m}=\sum_{i=1}^{N} w_{m i} \exp \left(-\alpha_{m} y_{i} G_{m}\left(x_{i}\right)\right) Z m = ∑ i = 1 N w m i exp ( − α m y i G m ( x i ) )
它使D m + 1 D_{m+1} D m + 1 成为一个概率分布。
3. 构建基本分类器的线性组合
f ( x ) = ∑ m = 1 M α m G m ( x ) f(x)=\sum_{m=1}^{M} \alpha_{m} G_{m}(x) f ( x ) = ∑ m = 1 M α m G m ( x )
得到最终分类器:
G ( x ) = sign ( f ( x ) ) = sign ( ∑ m = 1 M α m G m ( x ) ) \begin{aligned} G(x) &=\operatorname{sign}(f(x)) \\ &=\operatorname{sign}\left(\sum_{m=1}^{M} \alpha_{m} G_{m}(x)\right) \end{aligned} G ( x ) = s i g n ( f ( x ) ) = s i g n ( m = 1 ∑ M α m G m ( x ) )
对 Adaboost 算法作如下说明:
步骤(1) 假设训练数据集具有均匀的权值分布,即每个训练样本在基本分类器的学习中作用相同,这一假设保证第 1 步能够在原始数据上学习基本分类器G m ( x ) G_{m}(x) G m ( x ) 。
步骤(2) Adaboost 反复学习基本分类器,在每一轮m = 1 , 2 , ⋯ , M m=1,2, \cdots, M m = 1 , 2 , ⋯ , M 顺次地执行下列操作:
(a) 使用当前分布D m D_{m} D m 加权的训练数据集,学习基本分类器G m ( x ) G_{m}(x) G m ( x )
(b)计算基本分类器G m ( x ) G_{m}(x) G m ( x ) 在加权训练数据集上的分类误差率
e m = ∑ i = 1 N P ( G m ( x i ) ≠ y i ) = ∑ G m ( x i ) ≠ y i w m i \begin{aligned} e_{m} &=\sum_{i=1}^{N} P\left(G_{m}\left(x_{i}\right) \neq y_{i}\right) \\ &=\sum_{G_{m}\left(x_{i}\right) \neq y_{i}} w_{m i} \end{aligned} e m = i = 1 ∑ N P ( G m ( x i ) = y i ) = G m ( x i ) = y i ∑ w m i
这里,w m i w_{m i} w m i 表示第m m m 轮中第i i i 个实例的权值,∑ i = 1 N w m i = 1 \sum_{i=1}^{N} w_{m i}=1 ∑ i = 1 N w m i = 1 .这表明,G m ( x ) G_{m}(x) G m ( x ) 在加权的训练数据集上的分类误差率是被G m ( x ) G_{m}(x) G m ( x ) 误分类样本的权值之和,由此可以看出数据权值分布D m D_{m} D m 与基本分类器G m ( x ) G_{m}(x) G m ( x ) 的分类误差率的关系。
(c)计算基本分类器G m ( x ) G_{m}(x) G m ( x ) 的系数α m \alpha_{m} α m 。α m \alpha_{m} α m 表示G m ( x ) G_{m}(x) G m ( x ) 在最终分类器中的重要性。当e m ⩽ 1 2 e_{m} \leqslant \frac{1}{2} e m ⩽ 2 1 时,α m ⩾ 0 \alpha_{m} \geqslant 0 α m ⩾ 0 , 并且α m \alpha_{m} α m 随着e m e_{m} e m 的减小而增大,所以分类误差率越小的基本分类器在最终分类器中的作用越大。
(d)更新训练数据的权值分布为下一轮作准备。
w m + 1 , i = { w m i Z m e − α m , G m ( x i ) = y i w m i Z m e α m , G m ( x i ) ≠ y i w_{m+1, i}=\left\{\begin{array}{ll}\frac{w_{m i}}{Z_{m}} \mathrm{e}^{-\alpha_{m}}, & G_{m}\left(x_{i}\right)=y_{i} \\ \frac{w_{m i}}{Z_{m}} \mathrm{e}^{\alpha_{m}}, & G_{m}\left(x_{i}\right) \neq y_{i}\end{array}\right. w m + 1 , i = { Z m w m i e − α m , Z m w m i e α m , G m ( x i ) = y i G m ( x i ) = y i
由此可知,被基本分类器G m ( x ) G_{m}(x) G m ( x ) 误分类样本的权值得以扩大,而被正确分类样本的权值却得以缩小。两相比较,知误分类样本的权值被放大e 2 α m = 1 − e m e m \mathrm{e}^{2 \alpha_{m}}=\frac{1-e_{m}}{e_{m}} e 2 α m = e m 1 − e m 倍。因此,误分类样本在下一轮学习中起更大的作用。不改变所给的训练数据,而不断改变训练数据权值的分布,使得训练数据在基本分类器的学习中起不同的作用,这是Adaboost 的一个特点。
步骤(3) 线性组合f ( x ) f(x) f ( x ) 实现M M M 个基本分类器的加权表決。系数α m \alpha_{m} α m 表示了基本分类器G m ( x ) G_{m}(x) G m ( x ) 的重要性,这里,所有α m \alpha_{m} α m 之和并不为 1。f ( x ) f(x) f ( x ) 的符号决定实例x x x 的类,f ( x ) f(x) f ( x ) 的绝对值表示分类的确信度。利用基本分类器的线性组合构建最终分类器是 Adaboost 的另一特点。
AdaBoost 算法的训练误差分析
Adaboost 最基本的性质是它能在学习过程中不断减少训练误差,即在训练数据集上的分类误差率。
可以在每一轮选取适当的G m G_{m} G m 使得Z m Z_{m} Z m 最小,从而使训练误差下降最快。
对二类分类问题,在此条件下 AdaBoost 的训练误差是以指数速率下降的。
注意,Adaboost 算法不需要知道下界。与一些早期的提升方法不同,Adaboost 具有适应性,即它能适应弱分类器各自的训练误差率。这也是它的名称(适应的提升)的由来,Ada 是 Adaptive 的简写。
AdaBoost 算法的解释
Adaboost 算法还有另一个解释,即可以认为 Adaboost 算法是模型为加法模型损失函数为指数函数、学习算法为前向分步算法时的二类分类学习方法。
前向分步算法
考虑加法模型(additive model),
f ( x ) = ∑ m = 1 M β m b ( x ; γ m ) f(x)=\sum_{m=1}^{M} \beta_{m} b\left(x ; \gamma_{m}\right) f ( x ) = ∑ m = 1 M β m b ( x ; γ m )
其中,b ( x ; γ m ) b\left(x ; \gamma_{m}\right) b ( x ; γ m ) 为基函数,γ m \gamma_{m} γ m 为基函数的参数,β m \beta_{m} β m 为基函数的系数。显然,f ( x ) = ∑ m = 1 M α m G m ( x ) f(x)=\sum_{m=1}^{M} \alpha_{m} G_{m}(x) f ( x ) = ∑ m = 1 M α m G m ( x ) 是一个加法模型.
在给定训练数据及损失函数L ( y , f ( x ) ) L(y, f(x)) L ( y , f ( x ) ) 的条件下,学习加法模型f ( x ) f(x) f ( x ) 成为经验风险极小化即损失函数极小化问题
min β m , γ m ∑ i = 1 N L ( y i , ∑ m = 1 M β m b ( x i ; γ m ) ) \min _{\beta_{m}, \gamma_{m}} \sum_{i=1}^{N} L\left(y_{i}, \sum_{m=1}^{M} \beta_{m} b\left(x_{i} ; \gamma_{m}\right)\right) min β m , γ m ∑ i = 1 N L ( y i , ∑ m = 1 M β m b ( x i ; γ m ) )
通常这是一个复杂的优化问题。前向分步算法(forward stagewise algorithm)求解这一优化问题的想法是:因为学习的是加法模型,如果能够从前向后,每一步只学习一个基函数及其系数,逐步逼近优化目标函数式min β m , γ m ∑ i = 1 N L ( y i , ∑ m = 1 M β m b ( x i ; γ m ) ) \min _{\beta_{m}, \gamma_{m}} \sum_{i=1}^{N} L\left(y_{i}, \sum_{m=1}^{M} \beta_{m} b\left(x_{i} ; \gamma_{m}\right)\right) min β m , γ m ∑ i = 1 N L ( y i , ∑ m = 1 M β m b ( x i ; γ m ) ) ,那么就可以简化优化的复杂度。具体地,每步只需优化如下损失函数:
min β , γ ∑ i = 1 N L ( y i , β b ( x i ; γ ) ) \min _{\beta, \gamma} \sum_{i=1}^{N} L\left(y_{i}, \beta b\left(x_{i} ; \gamma\right)\right) min β , γ ∑ i = 1 N L ( y i , β b ( x i ; γ ) )
给定训练数据集T = { ( x 1 , y 1 ) , ( x 2 , y 2 ) , ⋯ , ( x N , y N ) } T=\left\{\left(x_{1}, y_{1}\right),\left(x_{2}, y_{2}\right), \cdots,\left(x_{N}, y_{N}\right)\right\} T = { ( x 1 , y 1 ) , ( x 2 , y 2 ) , ⋯ , ( x N , y N ) } 。损失函数L ( y , f ( x ) ) L(y, f(x)) L ( y , f ( x ) ) 和基函数的集合{ b ( x ; γ ) } \{b(x ; \gamma)\} { b ( x ; γ ) } ,学习加法模型f ( x ) f(x) f ( x ) 的前向分步算法如下。
输入:训练数据集T = { ( x 1 , y 1 ) , ( x 2 , y 2 ) , ⋯ , ( x N , y N ) } T=\left\{\left(x_{1}, y_{1}\right),\left(x_{2}, y_{2}\right), \cdots,\left(x_{N}, y_{N}\right)\right\} T = { ( x 1 , y 1 ) , ( x 2 , y 2 ) , ⋯ , ( x N , y N ) } ;损失函数L ( y , f ( x ) ) L(y, f(x)) L ( y , f ( x ) ) ;基函数集{ b ( x ; γ ) } \{b(x ; \gamma)\} { b ( x ; γ ) }
输出:加法模型f ( x ) f(x) f ( x )
初始化f 0 ( x ) = 0 f_{0}(x)=0 f 0 ( x ) = 0
对 m = 1 , 2 , ⋯ , M m=1,2, \cdots, M m = 1 , 2 , ⋯ , M
(a) ( β m , γ m ) = arg min β , γ ∑ i = 1 N L ( y i , f m − 1 ( x i ) + β b ( x i ; γ ) ) \left(\beta_{m}, \gamma_{m}\right)=\arg \min _{\beta, \gamma} \sum_{i=1}^{N} L\left(y_{i}, f_{m-1}\left(x_{i}\right)+\beta b\left(x_{i} ; \gamma\right)\right) ( β m , γ m ) = arg min β , γ ∑ i = 1 N L ( y i , f m − 1 ( x i ) + β b ( x i ; γ ) )
得到参数 β m , γ m ∘ \beta_{m}, \gamma_{m^{\circ}} β m , γ m ∘
(b)更新
f m ( x ) = f m − 1 ( x ) + β m b ( x ; γ m ) f_{m}(x)=f_{m-1}(x)+\beta_{m} b\left(x ; \gamma_{m}\right) f m ( x ) = f m − 1 ( x ) + β m b ( x ; γ m )
得到加法模型
f ( x ) = f M ( x ) = ∑ m = 1 M β m b ( x ; γ m ) f(x)=f_{M}(x)=\sum_{m=1}^{M} \beta_{m} b\left(x ; \gamma_{m}\right) f ( x ) = f M ( x ) = ∑ m = 1 M β m b ( x ; γ m )
这样,前向分步算法将同时求解从m = 1 m=1 m = 1 到M M M 所有参数β m , γ m \beta_{m}, \gamma_{m} β m , γ m 的优化问题简化为逐次求解各个β m , γ m \beta_{m}, \gamma_{m} β m , γ m 的优化问题
前向分步算法与 AdaBoost
由前向分步算法可以推导出 Adaboost,用定理叙述这一关系:
Adaboost 算法是前向分步加法算法的特例。这时,模型是由基本分类器组成的加法模型,损失函数是指数函数。
提升树
提升树是以分类树或回归树为基本分类器的提升方法。提升树被认为是统计学习中性能最好的方法之一。
提升树模型
提升方法实际采用加法模型(即基函数的线性组合)与前向分步算法。以决策树为基函数的提升方法称为提升树(boosting tree)。对分类问题决策树是二叉分类树,对回归问题決策树是二又回归树。提升树模型可以表示为决策树的加法模型:
f M ( x ) = ∑ m = 1 M T ( x ; Θ m ) f_{M}(x)=\sum_{m=1}^{M} T\left(x ; \Theta_{m}\right) f M ( x ) = ∑ m = 1 M T ( x ; Θ m )
其中,T ( x ; Θ m ) T\left(x ; \Theta_{m}\right) T ( x ; Θ m ) 表示决策树,Θ m \Theta_{m} Θ m 为决策树的参数,M M M 为树的个数。
提升树算法
提升树算法釆用前向分步算法。首先确定初始提升树f 0 ( x ) = 0 f_{0}(x)=0 f 0 ( x ) = 0 , 第m m m 步的模型是:
f m ( x ) = f m − 1 ( x ) + T ( x ; Θ m ) f_{m}(x)=f_{m-1}(x)+T\left(x ; \Theta_{m}\right) f m ( x ) = f m − 1 ( x ) + T ( x ; Θ m )
其中,f m − 1 ( x ) f_{m-1}(x) f m − 1 ( x ) 为当前模型,通过经验风险极小化确定下一棵决策树的参数Θ m \Theta_{m} Θ m :
Θ ^ m = arg min Θ ∑ i = 1 N L ( y i , f m − 1 ( x i ) + T ( x i ; Θ m ) ) \hat{\Theta}_{m}=\arg \min _{\Theta} \sum_{i=1}^{N} L\left(y_{i}, f_{m-1}\left(x_{i}\right)+T\left(x_{i} ; \Theta_{m}\right)\right) Θ ^ m = arg min Θ ∑ i = 1 N L ( y i , f m − 1 ( x i ) + T ( x i ; Θ m ) )
由于树的线性组合可以很好地拟合训练数据,即使数据中的输入与输出之间的关系很复杂也是如此,所以提升树是一个高功能的学习算法。
下面讨论针对不同问题的提升树学习算法,其主要区别在于使用的损失函数不同。包括用平方误差损失函数的回归问题,用指数损失函数的分类问题,以及用一般损失函数的一般决策问题。
对于二类分类问题,提升树算法只需将 Adaboost 算法中的基本分类器限制为二类分类树即可,可以说这时的提升树算法是 AdaBoost 算法的特殊情况,这里不再细述。下面叙述回归问题的提升树:
已知一个训练数据集T = { ( x 1 , y 1 ) , ( x 2 , y 2 ) , ⋯ , ( x N , y N ) } T=\left\{\left(x_{1}, y_{1}\right),\left(x_{2}, y_{2}\right), \cdots,\left(x_{N}, y_{N}\right)\right\} T = { ( x 1 , y 1 ) , ( x 2 , y 2 ) , ⋯ , ( x N , y N ) } , x i ∈ X ⊆ R n x_{i} \in \mathcal{X} \subseteq \mathbf{R}^{n} x i ∈ X ⊆ R n ,X \mathcal{X} X 配为输入空间,y i ∈ Y ⊆ R y_{i} \in \mathcal{Y} \subseteq \mathbf{R} y i ∈ Y ⊆ R , Y \mathcal{Y} Y 为输出空间。如果将输入空间划分为J J J 个互不相交的区域R 1 , R 2 , ⋯ , R J R_{1}, R_{2}, \cdots, R_{J} R 1 , R 2 , ⋯ , R J ,并且在每个区域上确定输出的常量\c_{j} ,那么树可表示为:
T ( x ; Θ ) = ∑ j = 1 J c j I ( x ∈ R j ) T(x ; \Theta)=\sum_{j=1}^{J} c_{j} I\left(x \in R_{j}\right) T ( x ; Θ ) = ∑ j = 1 J c j I ( x ∈ R j )
其中,参数Θ = { ( R 1 , c 1 ) , ( R 2 , c 2 ) , ⋯ , ( R J , c J ) } \Theta=\left\{\left(R_{1}, c_{1}\right),\left(R_{2}, c_{2}\right), \cdots,\left(R_{J}, c_{J}\right)\right\} Θ = { ( R 1 , c 1 ) , ( R 2 , c 2 ) , ⋯ , ( R J , c J ) } 表示树的区域划分和各区域上的常数。J J J 是回归树的复杂度即叶结点个数。
回归问题提升树使用以下前向分步算法:
f 0 ( x ) = 0 f_{0}(x)=0 f 0 ( x ) = 0
f m ( x ) = f m − 1 ( x ) + T ( x ; Θ m ) , m = 1 , 2 , ⋯ , M f_{m}(x)=f_{m-1}(x)+T\left(x ; \Theta_{m}\right), \quad m=1,2, \cdots, M f m ( x ) = f m − 1 ( x ) + T ( x ; Θ m ) , m = 1 , 2 , ⋯ , M
f M ( x ) = ∑ m = 1 M T ( x ; Θ m ) f_{M}(x)=\sum_{m=1}^{M} T\left(x ; \Theta_{m}\right) f M ( x ) = ∑ m = 1 M T ( x ; Θ m )
在前向分步算法的第m m m 步,给定当前模型f m − 1 ( x ) f_{m-1}(x) f m − 1 ( x ) ,需求解
Θ ^ m = arg min Θ ∑ i = 1 N L ( y i , f m − 1 ( x i ) + T ( x i ; Θ m ) ) \hat{\Theta}_{m}=\arg \min _{\Theta} \sum_{i=1}^{N} L\left(y_{i}, f_{m-1}\left(x_{i}\right)+T\left(x_{i} ; \Theta_{m}\right)\right) Θ ^ m = arg min Θ ∑ i = 1 N L ( y i , f m − 1 ( x i ) + T ( x i ; Θ m ) )
得到Θ ^ m \hat{\Theta}_{m} Θ ^ m ,即第m m m 棵树的参数。
当采用平方误差损失函数时,
L ( y , f ( x ) ) = ( y − f ( x ) ) 2 L(y, f(x))=(y-f(x))^{2} L ( y , f ( x ) ) = ( y − f ( x ) ) 2
其损失变为
L ( y , f m − 1 ( x ) + T ( x ; Θ m ) ) = [ y − f m − 1 ( x ) − T ( x ; Θ m ) ] 2 = [ r − T ( x ; Θ m ) ] 2 \begin{aligned} L\left(y, f_{m-1}(x)+T\left(x ; \Theta_{m}\right)\right) &=\left[y-f_{m-1}(x)-T\left(x ; \Theta_{m}\right)\right]^{2} \\ &=\left[r-T\left(x ; \Theta_{m}\right)\right]^{2} \end{aligned} L ( y , f m − 1 ( x ) + T ( x ; Θ m ) ) = [ y − f m − 1 ( x ) − T ( x ; Θ m ) ] 2 = [ r − T ( x ; Θ m ) ] 2
这里,
r = y − f m − 1 ( x ) r=y-f_{m-1}(x) r = y − f m − 1 ( x )
是当前模型拟合数据的残差(residual)。所以,对回归问题的提升树算法来说,只需简单地拟合当前模型的残差。这样,算法是相当简单的。现将回归问题的提升树算法叙述如下。
输入:训练数据集T = { ( x 1 , y 1 ) , ( x 2 , y 2 ) , ⋯ , ( x N , y N ) } , x i ∈ X ⊆ R n , y i ∈ Y ⊆ R T=\left\{\left(x_{1}, y_{1}\right),\left(x_{2}, y_{2}\right), \cdots,\left(x_{N}, y_{N}\right)\right\}, x_{i} \in \mathcal{X} \subseteq \mathbf{R}^{n}, y_{i} \in \mathcal{Y} \subseteq \mathbf{R} T = { ( x 1 , y 1 ) , ( x 2 , y 2 ) , ⋯ , ( x N , y N ) } , x i ∈ X ⊆ R n , y i ∈ Y ⊆ R
输出:提升树f M ( x ) f_{M}(x) f M ( x )
初始化f 0 ( x ) = 0 f_{0}(x)=0 f 0 ( x ) = 0
对m = 1 , 2 , ⋯ , M m=1,2, \cdots, M m = 1 , 2 , ⋯ , M
(a) 计算残差:
r m i = y i − f m − 1 ( x i ) , i = 1 , 2 , ⋯ , N r_{m i}=y_{i}-f_{m-1}\left(x_{i}\right), \quad i=1,2, \cdots, N r m i = y i − f m − 1 ( x i ) , i = 1 , 2 , ⋯ , N
(b)拟合残差r m i r_{m i} r m i 学习一个回归树,得到T ( x ; Θ m ) T\left(x ; \Theta_{m}\right) T ( x ; Θ m ) 。
(c)更新 f m ( x ) = f m − 1 ( x ) + T ( x ; Θ m ) f_{m}(x)=f_{m-1}(x)+T\left(x ; \Theta_{m}\right) f m ( x ) = f m − 1 ( x ) + T ( x ; Θ m )
梯度提升
提升树利用加法模型与前向分步算法实现学习的优化过程。当损失函数是平方损失和指数损失函数时,每一步优化是很简单的。但对一般损失函数而言,往往每一步优化并不那么容易。针对这一问题,Freidman 提出了梯度提升(gradient boosting)算法。这是利用最速下降法的近似方法,其关键是利用损失函数的负梯度在当前模型的值:
− [ ∂ L ( y , f ( x i ) ) ∂ f ( x i ) ] f ( x ) = f m − 1 ( x ) -\left[\frac{\partial L\left(y, f\left(x_{i}\right)\right)}{\partial f\left(x_{i}\right)}\right]_{f(x)=f_{m-1}(x)} − [ ∂ f ( x i ) ∂ L ( y , f ( x i ) ) ] f ( x ) = f m − 1 ( x )
作为回归问题提升树算法中的残差的近似值,拟合一个回归树。
梯度提升算法:
输入:训练数据集T = { ( x 1 , y 1 ) , ( x 2 , y 2 ) , ⋯ , ( x N , y N ) } , x i ∈ X ⊆ R n , y i ∈ Y ⊆ R T=\left\{\left(x_{1}, y_{1}\right),\left(x_{2}, y_{2}\right), \cdots,\left(x_{N}, y_{N}\right)\right\}, x_{i} \in \mathcal{X} \subseteq \mathbf{R}^{n}, y_{i} \in \mathcal{Y} \subseteq \mathbf{R} T = { ( x 1 , y 1 ) , ( x 2 , y 2 ) , ⋯ , ( x N , y N ) } , x i ∈ X ⊆ R n , y i ∈ Y ⊆ R ,损失函数L ( y , f ( x ) ) L(y, f(x)) L ( y , f ( x ) )
输出:回归树f ^ ( x ) \hat{f}(x) f ^ ( x ) 。
初始化
f 0 ( x ) = arg min c ∑ i = 1 N L ( y i , c ) f_{0}(x)=\arg \min _{c} \sum_{i=1}^{N} L\left(y_{i}, c\right) f 0 ( x ) = arg min c ∑ i = 1 N L ( y i , c )
对m = 1 , 2 , ⋯ , M m=1,2, \cdots, M m = 1 , 2 , ⋯ , M :
(a)对i = 1 , 2 , ⋯ , N i=1,2, \cdots, N i = 1 , 2 , ⋯ , N ,计算:
r m i = − [ ∂ L ( y i , f ( x i ) ) ∂ f ( x i ) ] f ( x ) = f m − 1 ( x ) r_{m i}=-\left[\frac{\partial L\left(y_{i}, f\left(x_{i}\right)\right)}{\partial f\left(x_{i}\right)}\right]_{f(x)=f_{m-1}(x)} r m i = − [ ∂ f ( x i ) ∂ L ( y i , f ( x i ) ) ] f ( x ) = f m − 1 ( x )
(b)对r m i r_{m i} r m i 拟合一个回归树,得到第m m m 棵树的叶结点区域R m j , j = 1 , 2 , ⋯ , J R_{m j}, j=1,2, \cdots, J R m j , j = 1 , 2 , ⋯ , J
(c)对j = 1 , 2 , ⋯ , J j=1,2, \cdots, J j = 1 , 2 , ⋯ , J ,计算:
c m j = arg min c ∑ x i ∈ R m j L ( y i , f m − 1 ( x i ) + c ) c_{m j}=\arg \min _{c} \sum_{x_{i} \in R_{m j}} L\left(y_{i}, f_{m-1}\left(x_{i}\right)+c\right) c m j = arg min c ∑ x i ∈ R m j L ( y i , f m − 1 ( x i ) + c )
(d)更新f m ( x ) = f m − 1 ( x ) + ∑ j = 1 J c m j I ( x ∈ R m j ) f_{m}(x)=f_{m-1}(x)+\sum_{j=1}^{J} c_{m j} I\left(x \in R_{m j}\right) f m ( x ) = f m − 1 ( x ) + ∑ j = 1 J c m j I ( x ∈ R m j )
得到回归树:
f ^ ( x ) = f M ( x ) = ∑ m = 1 M ∑ j = 1 J c m j I ( x ∈ R m j ) \hat{f}(x)=f_{M}(x)=\sum_{m=1}^{M} \sum_{j=1}^{J} c_{m j} I\left(x \in R_{m j}\right) f ^ ( x ) = f M ( x ) = ∑ m = 1 M ∑ j = 1 J c m j I ( x ∈ R m j )
算法第 1 步初始化,估计使损失函数极小化的常数值,它是只有一个根结点的树。第 2 (a)步计算损失函数的负梯度在当前模型的值,将它作为残差的估计。对于平方损失函数,它就是通常所说的残差;对于一般损失函数,它就是残差的近似值。第 2 (b)步估计回归树叶结点区域,以拟合残差的近似值。第 2()步利用线性搜索估计叶结点区域的值,使损失函数极小化。第 2 (d)步更新回归树。第 3 步得到输出的最终模型 J (x)
集成学习(《机器学习》)
个体与集成
集成学习(ensemble learning)通过构建并结合多个学习器来完成学习任务,有时也被称为多分类器系统(multi-classifier system)、基于委员会的学习(committee-based learning)等。
下图显示出集成学习的一般结构:先产生一组“个体学习器”(individual learner),再用某种策略将它们结合起来。个体学习器通常由一个现有的学习算法从训练数据产生,例如 C4.5 决策树算法、BP 神经网络算法等,此时集成中只包含同种类型的个体学习器,例如“决策树集成”中全是决策树,“神经网络集成”中全是神经网络,这样的集成是“同质”的(homogeneous)。同质集成中的个体学习器亦称“基学习器”(base learner)相应的学习算法称为“基学习算法”(base learning algorithm)。集成也可包含不同类型的个体学习器,例如同时包含决策树和神经网络,这样的集成是“异质”的(heterogenous)。异质集成中的个体学习器由不同的学习算法生成,这时就不再有基学习算法;相应的,个体学习器一般不称为基学习器,常称为“组件学习器”(component learner)或直接称为个体学习器。
集成学习通过将多个学习器进行结合,常可获得比单一学习器显著优越的泛化性能。这对“弱学习器”(weak learner)尤为明显,因此集成学习的很多理论研究都是针对弱学习器进行的,而基学习器有时也被直接称为弱学习器。但需注意的是,虽然从理论上来说使用弱学习器集成足以获得好的性能,但在实践中出于种种考虑,例如希望使用较少的个体学习器,或是重用关于常见学习器的一些经验等,人们往往会使用比较强的学习器。
弱学习器常指泛化性能略优于随机猜测的学习器;例如在二分类问题上精度略高于 50%的分类器。
要获得好的集成,个体学习器应“好而不同”,即个体学习器要有一定的“准确性”,即学习器不能太坏,并且要有“多样性”(diversity),即学习器间具有差异。
个体学习器至少不差于弱学习器。
假设基分类器的错误率相互独立,则随着集成中个体分类器数目T T T 的增大,集成的错误率将指数级下降,最终趋向于零。
然而我们必须注意到,上面的分析有一个关键假设:基学习器的误差相互独立。在现实任务中,个体学习器是为解决同一个问题训练出来的,它们显然不可能相互独立!事实上,个体学习器的“准确性”和“多样性”本身就存在冲突。一般的,准确性很高之后,要增加多样性就需牺牲准确性。事实上,如何产生并结合“好而不同”的个体学习器,恰是集成学习研究的核心。
根据个体学习器的生成方式,目前的集成学习方法大致可分为两大类,即个体学习器间存在强依赖关系、必须串行生成的序列化方法,以及个体学习器间不存在强依赖关系、可同时生成的并行化方法;前者的代表是 Boosting,后者的代表是 Bagging 和“随机森林”(Random Forest)
Boosting
Boosting 是一族可将弱学习器提升为强学习器的算法。这族算法的工作机制类似:先从初始训练集训练出一个基学习器,再根据基学习器的表现对训练样本分布进行调整,使得先前基学习器做错的训练样本在后续受到更多关注,然后基于调整后的样本分布来训练下一个基学习器;如此重复进行,直至基学习器数目达到事先指定的值T T T ,最终将这T T T 个基学习器进行加权结合。
Boosting 族算法最著名的代表是AdaBoost,其描述如图所示,其中y i ∈ { − 1 , + 1 } y_{i} \in\{-1,+1\} y i ∈ { − 1 , + 1 } , f f f 是真实函数。
AdaBoost算法有多种推导方式,比较容易理解的是基于“加性模型”(additive model),即基学习器的线性组合
H ( x ) = ∑ t = 1 T α t h t ( x ) H(\boldsymbol{x})=\sum_{t=1}^{T} \alpha_{t} h_{t}(\boldsymbol{x}) H ( x ) = ∑ t = 1 T α t h t ( x )
来最小化指数损失函数(exponential loss function):
ℓ exp ( H ∣ D ) = E x ∼ D [ e − f ( x ) H ( x ) ] \ell_{\exp }(H | \mathcal{D})=\mathbb{E}_{\boldsymbol{x} \sim \mathcal{D}}\left[e^{-f(\boldsymbol{x}) H(\boldsymbol{x})}\right] ℓ exp ( H ∣ D ) = E x ∼ D [ e − f ( x ) H ( x ) ]
若H ( x ) H(\boldsymbol{x}) H ( x ) 能令指数损失函数最小化,则考虑损失函数对H ( x ) H(\boldsymbol{x}) H ( x ) 的偏导:
∂ ℓ exp ( H ∣ D ) ∂ H ( x ) = − e − H ( x ) P ( f ( x ) = 1 ∣ x ) + e H ( x ) P ( f ( x ) = − 1 ∣ x ) \frac{\partial \ell_{\exp }(H | \mathcal{D})}{\partial H(\boldsymbol{x})}=-e^{-H(\boldsymbol{x})} P(f(\boldsymbol{x})=1 | \boldsymbol{x})+e^{H(\boldsymbol{x})} P(f(\boldsymbol{x})=-1 | \boldsymbol{x}) ∂ H ( x ) ∂ ℓ exp ( H ∣ D ) = − e − H ( x ) P ( f ( x ) = 1 ∣ x ) + e H ( x ) P ( f ( x ) = − 1 ∣ x )
令上式为零可解得:
H ( x ) = 1 2 ln P ( f ( x ) = 1 ∣ x ) P ( f ( x ) = − 1 ∣ x ) H(\boldsymbol{x})=\frac{1}{2} \ln \frac{P(f(x)=1 | \boldsymbol{x})}{P(f(x)=-1 | \boldsymbol{x})} H ( x ) = 2 1 ln P ( f ( x ) = − 1 ∣ x ) P ( f ( x ) = 1 ∣ x )
因此,有
sign ( H ( x ) ) = sign ( 1 2 ln P ( f ( x ) = 1 ∣ x ) P ( f ( x ) = − 1 ∣ x ) ) = { 1 , P ( f ( x ) = 1 ∣ x ) > P ( f ( x ) = − 1 ∣ x ) − 1 , P ( f ( x ) = 1 ∣ x ) < P ( f ( x ) = − 1 ∣ x ) = arg max y ∈ { − 1 , 1 } P ( f ( x ) = y ∣ x ) \begin{aligned} \operatorname{sign}(H(\boldsymbol{x})) &=\operatorname{sign}\left(\frac{1}{2} \ln \frac{P(f(x)=1 | \boldsymbol{x})}{P(f(x)=-1 | \boldsymbol{x})}\right) \\ &=\left\{\begin{array}{ll}1, & P(f(x)=1 | \boldsymbol{x})>P(f(x)=-1 | \boldsymbol{x}) \\ -1, & P(f(x)=1 | \boldsymbol{x})<P(f(x)=-1 | \boldsymbol{x})\end{array}\right.\\ &=\underset{y \in\{-1,1\}}{\arg \max } P(f(x)=y | \boldsymbol{x}) \end{aligned} s i g n ( H ( x ) ) = s i g n ( 2 1 ln P ( f ( x ) = − 1 ∣ x ) P ( f ( x ) = 1 ∣ x ) ) = { 1 , − 1 , P ( f ( x ) = 1 ∣ x ) > P ( f ( x ) = − 1 ∣ x ) P ( f ( x ) = 1 ∣ x ) < P ( f ( x ) = − 1 ∣ x ) = y ∈ { − 1 , 1 } arg max P ( f ( x ) = y ∣ x )
这意味着sign ( H ( x ) ) \operatorname{sign}(H(\boldsymbol{x})) s i g n ( H ( x ) ) 达到了贝叶斯最优错误率,换言之,若指数损失函数最小化,则分类错误率也将最小化;这说明指数损失函数是分类任务原本0 / 1 0 / 1 0 / 1 损失函数的一致的(consistent)替代损失函数。由于这个替代函数有更好的数学性质,例如它是连续可微函数,因此我们用它替代0 / 1 0 / 1 0 / 1 损失函数作为优化目标。
在 Adaboost 算法中,第一个基分类器h 1 h_{1} h 1 是通过直接将基学习算法用于初始数据分布而得;此后迭代地生成h t h_{t} h t 和α t \alpha_{t} α t ,当基分类器 h t h_{t} h t 基于分布D t \mathcal{D}_{t} D t 产生后,该基分类器的权重α t \alpha_{t} α t 应使得α t h t \alpha_{t} h_{t} α t h t 最小化指数损失函数。
AdaBoost算法在获得H t − 1 H_{t-1} H t − 1 之后样本分布将进行调整,使下一轮的基学习器h t h_{t} h t 能纠正H t − 1 H_{t-1} H t − 1 的一些错误。理想的h t h_{t} h t 能纠正H t − 1 H_{t-1} H t − 1 的全部错误。
理想的h t h_{t} h t 将在分布D t \mathcal{D}_{t} D t 下最小化分类误差。因此,弱分类器将基于分布D t \mathcal{D}_{t} D t 来训练,且针对D t \mathcal{D}_{t} D t 的分类误差应小于 0.5. 这在一定程度上类似“残差逼近”的思想。
Boosting算法要求基学习器能对特定的数据分布进行学习,这可通过“重赋权法”(re-weighting)实施,即在训练过程的每一轮中,根据样本分布为每个训练样本重新赋予一个权重。对无法接受带权样本的基学习算法,则可通过“重采样法”(re-sampling)来处理,即在每一轮学习中,根据样本分布对训练集重新进行采样,再用重采样而得的样本集对基学习器进行训练。一般而言,这两种做法没有显著的优劣差别。需注意的是,Boosting 算法在训练的每一轮都要检査当前生成的基学习器是否满足基本条件(例如图 8.3 的第 5 行,检查当前基分类器是否是比随机猜测好),一旦条件不满足,则当前基学习器即被抛弃,且学习过程停止。在此种情形下,初始设置的学习轮数也许还远未达到,可能导致最终集成中只包含很少的基学习器而性能不佳。若采用“重采样法”,则可获得“重启动”机会以避免训练过程过早停止,即在抛弃不满足条件的当前基学习器之后,可根据当前分布重新对训练样本进行采样,再基于新的采样结果重新训练出基学习器,从而使得学习过程可以持续到预设的T T T 轮完成。
从偏差一方差分解的角度看,Boosting 主要关注降低偏差,因此 Boosting 能基于泛化性能相当弱的学习器构建出很强的集成。
Bagging与随机森林
欲得到泛化性能强的集成,集成中的个体学习器应尽可能相互独立;虽然“独立”在现实任务中无法做到,但可以设法使基学习器尽可能具有较大的差异。给定一个训练数据集,一种可能的做法是对训练样本进行采样,产生出若干个不同的子集,再从每个数据子集中训练出一个基学习器。这样,由于训练数据不同,我们获得的基学习器可望具有比较大的差异。然而,为获得好的集成,我们同时还希望个体学习器不能太差。如果采样出的每个子集都完全不同,则每个基学习器只用到了一小部分训练数据,甚至不足以进行有效学习,这显然无法确保产生出比较好的基学习器。为解决这个问题,我们可考虑使用相互有交叠的采样子集。
Bagging
Bagging是并行式集成学习方法最著名的代表。从名字即可看出,它直接基于自助采样法(bootstrap sampling)给定包含m个样本的数据集,我们先随机取出一个样本放入采样集中,再把该样本放回初始数据集,使得下次采样时该样本仍有可能被选中,这样,经过m次随机采样操作,我们得到含m个样本的采样集,初始训练集中有的样本在采样集里多次出现,有的则从未出现。初始训练集中约有 63.2% 的样本出现在采样集中。
照这样,我们可采样出T T T 个含m m m 个训练样本的采样集,然后基于每个采样集训练出一个基学习器,再将这些基学习器进行结合。这就是Bagging的基本流程。在对预测输出进行结合时,Bagging通常对分类任务使用简单投票法,对回归任务使用简单平均法。即每个基学习器使用相同权重的投票、平均。若分类预测时出现两个类收到同样票数的情形,则最简单的做法是随机选择一个,也可进一步考察学习器投票的置信度来确定最终胜者。Bagging 的算法描述如图所示。
假定基学习器的计算复杂度为O ( m ) O(m) O ( m ) , 则 Bagging 的复杂度大致为T ( O ( m ) + O ( s ) ) T(O(m)+O(s)) T ( O ( m ) + O ( s ) ) ,考虑到采样与投票/平均过程的复杂度O ( s ) O(s) O ( s ) 很小,而T T T 通常是一个不太大的常数,因此,训练一个 Bagging 集成与直接使用基学习算法训练一个学习器的复杂度同阶,这说明 Bagging 是一个很高效的集成学习算法。另外,与标准 AdaBoost 只适用于二分类任务不同,Bagging 能不经修改地用于多分类、回归等任务。
值得一提的是,自助米样过程还给 Bagging 带来了另一个优点:由于每个基学习器只使用了初始训练集中约 63.2%的样本,剩下约 36.8%的样本可用作验证集来对泛化性能进行“包外估计”(out- of-bag estimate).
事实上,包外样本还有许多其他用途。例如当基学习器是决策树时,可使用包外样本来辅助剪枝,或用于估计决策树中各结点的后验概率以辅助对零训练样本结点的处理;当基学习器是神经网络时,可使用包外样本来辅助早期停止以减小过拟合风险。
从偏差-方差分解的角度看,Bagging 主要关注降低方差,因此它在不剪枝决策树、神经网络等易受样本扰动的学习器上效用更为明显。
随机森林
随机森林(Random Forest,简称 RF)是 Bagging 的一个扩展变体。RF 在以决策树为基学习器构建 Bagging 集成的基础上,进一步在决策树的训练过程中引入了随机属性选择。具体来说,传统决策树在选择划分属性时是在当前结点的属性集合(假定有d d d 个属性)中选择一个最优属性;而在RF中,对基决策树的每个结点,先从该结点的属性集合中随机选择一个包含k k k 个属性的子集,然后再从这个子集中选择一个最优属性用于划分。这里的参数k k k 控制了随机性的引入程度:若令k = d k=d k = d ,则基决策树的构建与传统决策树相同;若令k = 1 k=1 k = 1 , 则是随机选择一个属性用于划分;一般情况下,推荐值k = log 2 d k=\log _{2} d k = log 2 d 。
随机森林简单、容易实现、计算开销小,令人惊奇的是,它在很多现实任务中展现出强大的性能,被誉为“代表集成学习技术水平的方法”。可以看出随机森林对 Bagging 只做了小改动,但是与 Bagging 中基学习器的“多样性”仅通过样本扰动(通过对初始训练集采样)而来不同,随机森林中基学习器的多样性不仅来自样本扰动,还来自属性扰动,这就使得最终集成的泛化性能可通过个体学习器之间差异度的增加而进一步提升。
随机森林的收敛性与Bagging相似。如图所示,随机森林的起始性能往往相对较差,特别是在集成中只包含一个基学习器时。这很容易理解,为通过引入属性扰动,随机森林中个体学习器的性能往往有所降低。然而,随着个体学习器数目的增加,随机森林通常会收敛到更低的泛化误差。值得一提的是,随机森林的训练效率常优于 Bagging,因为在个体决策树的构建过程中,Bagging 使用的是“确定型”决策树,在选择划分属性时要对结点的所有属性进行考察,而随机森林使用的“随机型”决策树则只需考察一个属性子集。
结合策略
学习器结合可能会从三个方面带来好处: 首先,从统计的方面来看,由于学习任务的假设空间往往很大,可能有多个假设在训练集上达到同等性能,此时若使用单学习器可能因误选而导致泛化性能不佳,结合多个学习器则会减小这一风险;第二,从计算的方面来看,学习算法往往会陷入局部极小,有的局部极小点所对应的泛化性能可能很糟糕,而通过多次运行之后进行结合,可降低陷入糟糕局部极小点的风险;第三,从表示的方面来看,某些学习任务的真实假设可能不在当前学习算法所考虑的假设空间中,此时若使用单学习器则肯定无效,而通过结合多个学习器,由于相应的假设空间有所扩大,有可能学得更好的近似。下图给出了一个直观示意图。
假定集成包含T T T 个基学习器{ h 1 , h 2 , … , h T } \left\{h_{1}, h_{2}, \ldots, h_{T}\right\} { h 1 , h 2 , … , h T } ,其中h i h_{i} h i 在示例x \boldsymbol{x} x 上的输出为h i ( x ) h_{i}(\boldsymbol{x}) h i ( x ) 。本节介绍几种对h i h_{i} h i 进行结合的常见策略。
平均法
对数值型输出h i ( x ) ∈ R h_{i}(\boldsymbol{x}) \in \mathbb{R} h i ( x ) ∈ R ,最常见的结合策略是使用平均法(averaging)
简单平均法(simple averaging)
H ( x ) = 1 T ∑ i = 1 T h i ( x ) H(\boldsymbol{x})=\frac{1}{T} \sum_{i=1}^{T} h_{i}(\boldsymbol{x}) H ( x ) = T 1 ∑ i = 1 T h i ( x )
加权平均法(weighted averaging)
H ( x ) = ∑ i = 1 T w i h i ( x ) H(\boldsymbol{x})=\sum_{i=1}^{T} w_{i} h_{i}(\boldsymbol{x}) H ( x ) = ∑ i = 1 T w i h i ( x )
其中w i w_{i} w i 是个体学习器h i h_{i} h i 的权重,通常要求w i ⩾ 0 w_{i} \geqslant 0 w i ⩾ 0 ,∑ i = 1 T w i = 1 \sum_{i=1}^{T} w_{i}=1 ∑ i = 1 T w i = 1
Breiman在研究 Stacking 回归时发现,必须使用非负权重才能确保集成性能优于单一最佳个体学习器,因此在集成学习中一般对学习器的权重施以非负约束
显然,简单平均法是加权平均法令w i = 1 / T w_{i}=1 / T w i = 1 / T 的特例。它在集成学习中具有特别的意义,集成学习中的各种结合方法都可视为其特例或变体。事实上,加权平均法可认为是集成学习研究的基本出发点,对给定的基学习器,不同的集成学习方法可视为通过不同的方式来确定加权平均法中的基学习器权重。
例如估计出个体学习器的误差,然后令权重大小与误差大小成反比
加权平均法的权重一般是从训练数据中学习而得,现实任务中的训练样本通常不充分或存在噪声,这将使得学出的权重不完全可靠。尤其是对规模比较大的集成来说,要学习的权重比较多,较容易导致过拟合。因此,实验和应用均显示出,加权平均法未必一定优于简单平均法。一般而言,在个体学习器性能相差较大时宜使用加权平均法,而在个体学习器性能相近时宜使用简单平均法。
投票法
对分类任务来说,学习器h i h_{i} h i 将从类别标记集合{ c 1 , c 2 , … , c N } \left\{c_{1}, c_{2}, \ldots, c_{N}\right\} { c 1 , c 2 , … , c N } 中预测出个标记,最常见的结合策略是使用投票法(voting)。为便于讨论,我们将h i h_{i} h i 在样本x \boldsymbol{x} x 上的预测输出表示为一个N N N 维向量( h i 1 ( x ) ; h i 2 ( x ) ; … ; h i N ( x ) ) \left(h_{i}^{1}(\boldsymbol{x}) ; h_{i}^{2}(\boldsymbol{x}) ; \ldots ; h_{i}^{N}(\boldsymbol{x})\right) ( h i 1 ( x ) ; h i 2 ( x ) ; … ; h i N ( x ) ) ,其中h i j ( x ) h_{i}^{j}(\boldsymbol{x}) h i j ( x ) 是h i h_{i} h i 在类别标记c j c_{j} c j 上的输出。
绝对多数投票法(majority voting)
H ( x ) = { c j , if ∑ i = 1 T h i j ( x ) > 0.5 ∑ k = 1 N ∑ i = 1 T h i k ( x ) reject, otherwise H(\boldsymbol{x})=\left\{\begin{array}{ll}c_{j}, & \text { if } \sum_{i=1}^{T} h_{i}^{j}(\boldsymbol{x})>0.5 \sum_{k=1}^{N} \sum_{i=1}^{T} h_{i}^{k}(\boldsymbol{x}) \\ \text { reject, } & \text { otherwise }\end{array}\right. H ( x ) = { c j , reject, if ∑ i = 1 T h i j ( x ) > 0 . 5 ∑ k = 1 N ∑ i = 1 T h i k ( x ) otherwise
即若某标记得票过半数,则预测为该标记;否则拒绝预测
相对多数投票法(plurality voting)
即预测为得票最多的标记,若同时有多个标记获最高票,则从中随机选取.
加权投票法(weighted voting)
与加权平均法类似,w i w_{i} w i 是h i h_{i} h i 的权重,通常w i ⩾ 0 , ∑ i = 1 T w i = 1 w_{i} \geqslant 0, \sum_{i=1}^{T} w_{i}=1 w i ⩾ 0 , ∑ i = 1 T w i = 1
标准的绝对多数投票法提供了“拒绝预测”选项,这在可靠性要求较高的学习任务中是一个很好的机制。但若学习任务要求必须提供预测结果,则绝对多数投票法将退化为相对多数投票法。因此,在不允许拒绝预测的任务中,绝对多数、相对多数投票法统称为“多数投票法”。
上述三式没有限制个体学习器输出值的类型。在现实任务中,不同类型个体学习器可能产生不同类型的h i j ( x ) h_{i}^{j}(\boldsymbol{x}) h i j ( x ) 值,常见的有:
类标记:h i j ( x ) ∈ { 0 , 1 } h_{i}^{j}(\boldsymbol{x}) \in\{0,1\} h i j ( x ) ∈ { 0 , 1 } ,若h i h_{i} h i 将样本预测为类别c j c_{j} c j 则取值为 1, 否则为 0. 使用类标记的投票亦称“硬投票”(hard voting)
类概率:h i j ( x ) ∈ [ 0 , 1 ] h_{i}^{j}(\boldsymbol{x}) \in[0,1] h i j ( x ) ∈ [ 0 , 1 ] ,相当于对后验概率P ( c j ∣ x ) P\left(c_{j} | \boldsymbol{x}\right) P ( c j ∣ x ) 的一个估计。使用类概率的投票亦称“软投票”(soft voting)
不同类型的h i j ( x ) h_{i}^{j}(\boldsymbol{x}) h i j ( x ) 值不能混用。对一些能在预测出类别标记的同时产生分类置信度的学习器,其分类置信度可转化为类概率使用。若此类值未进行规范化,例如支持向量机的分类间隔值,则必须使用一些技术如 Plat 缩放(Platt scaling),等分回归(isotonic regression)等进行“校准”(calibration)后才能作为类概率使用。有趣的是虽然分类器估计出的类概率值一般都不太准确,但基于类概率进行结合却往往比直接基于类标记进行结合性能更好。需注意的是,若基学习器的类型不同,则其类概率值不能直接进行比较;例如异质集成中不同类型的个体学习器。在此种情形下,通常可将类概率输出转化为类标记输出(例如将类概率输出最大的h i j ( x ) h_{i}^{j}(\boldsymbol{x}) h i j ( x ) 设为 1, 其他设为 0) 然后再投票。
学习法
当训练数据很多时,一种更为强大的结合策略是使用“学习法”,即通过另一个学习器来进行结合。Stacking是学习法的典型代表。这里我们把个体学习器称为初级学习器,用于结合的学习器称为次级学习器或元学习器(meta-learner).
Stacking本身是一种著名的集成学习方法,且有不少集成学习算法可视为其变体或特例。它也可看作一种特殊的结合策略。
Stacking先从初始数据集训练出初级学习器,然后“生成”一个新数据集用于训练次级学习器。在这个新数据集中,初级学习器的输出被当作样例输入特征,而初始样本的标记仍被当作样例标记。Stacking的算法描述如图所示,这里我们假定初级学习器使用不同学习算法产生,即初级集成是异质的。
初级学习器也可是同质的
在训练阶段,次级训练集是利用初级学习器产生的,若直接用初级学习器的训练集来产生次级训练集,则过拟合风险会比较大;因此,一般是通过使用交叉验证或留一法这样的方式,用训练初级学习器未使用的样本来产生次级学习器的训练样本。以k k k 折交叉验证为例,初始训练集D D D 被随机划分为k k k 个大小相似的集合D 1 , D 2 , … , D k D_{1}, D_{2}, \dots, D_{k} D 1 , D 2 , … , D k ,令D j D_{j} D j 和D ˉ j = D \ D j \bar{D}_{j}=D \backslash D_{j} D ˉ j = D \ D j 分别表示第j j j 折的测试集和训练集。给定T T T 个初级学习算法,初级学习器h t ( j ) h_{t}^{(j)} h t ( j ) 通过在D ˉ j \bar{D}_{j} D ˉ j 上使用第t t t 个学习算法而得。对D j D_{j} D j 中每个样本x i \boldsymbol{x}_{i} x i ,令z i t = h t ( j ) ( x i ) z_{i t}=h_{t}^{(j)}\left(\boldsymbol{x}_{i}\right) z i t = h t ( j ) ( x i ) ,则由x i \boldsymbol{x}_{i} x i 所产生的次级训练样例的示例部分为z i = ( z i 1 ; z i 2 ; … ; z i T ) \boldsymbol{z}_{i}=\left(z_{i 1} ; z_{i 2} ; \ldots ; z_{i T}\right) z i = ( z i 1 ; z i 2 ; … ; z i T ) ,标记部分为y i y_{i} y i 。于是,在整个交叉验证过程结東后,从这个初级学习器产生的次级训练集是D ′ = { ( z i , y i ) } i = 1 m D^{\prime}=\left\{\left(\boldsymbol{z}_{i}, y_{i}\right)\right\}_{i=1}^{m} D ′ = { ( z i , y i ) } i = 1 m , 然后D ′ D^{\prime} D ′ 将用于训练次级学习器。
次级学习器的输入属性表示和次级学习算法对 Stacking 集成的泛化性能有很大影响。有研究表明,将初级学习器的输出类概率作为次级学习器的输入属性,用多响应线性回归(Multi-response Linear Regression,简称 MLR)作为次级学习算法效果较好, 在 MLR 中使用不同的属性集更佳。
贝叶斯模型平均(Bayes Model Averaging,简称 BMA)基于后验概率来为不同模型赋予权重,可视为加权平均法的一种特殊实现。理论上来说,若数据生成模型恰在当前考虑的模型中,且数据噪声很少,则 BMA 不差于 Stacking;然而,在现实应用中无法确保数据生成模型一定在当前考虑的模型中,甚至可能难以用当前考虑的模型来进行近似,因此,Stacking 通常优于 BMA,因为其鲁棒性比 BMA 更好,而且 BMA 对模型近似误差非常敏感。
多样性
误差—分岐分解
令E E E 为集成的泛化误差,E ˉ = ∑ i = 1 T w i E i \bar{E}=\sum_{i=1}^{T} w_{i} E_{i} E ˉ = ∑ i = 1 T w i E i 表示个体学习器泛化误差的加权均值,A ˉ = ∑ i = 1 T w i A i \bar{A}=\sum_{i=1}^{T} w_{i} A_{i} A ˉ = ∑ i = 1 T w i A i 表示个体学习器的加权分歧值,有:
E = E ˉ − A ˉ E=\bar{E}-\bar{A} E = E ˉ − A ˉ
式子明确提示出:个体学习器准确性越高、多样性越大,则集成越好。称为“误差一分歧分解”(eror- ambiguity decomposition)。
至此,读者可能很高兴:我们直接把E ˉ − A ˉ \bar{E}-\bar{A} E ˉ − A ˉ 作为优化目标来求解,不就能得到最优的集成了?遗憾的是,在现实任务中很难直接对E ˉ − A ˉ \bar{E}-\bar{A} E ˉ − A ˉ 进行优化,不仅由于它们是定义在整个样本空间上,还由于A ˉ \bar{A} A ˉ 不是一个可直接操作的多样性度量,它仅在集成构造好之后オ能进行估计。此外需注意的是,上面的推导过程只适用于回归学习,难以直接推广到分类学习任务上去。
多样性度量(差异性度量)
顾名思义,多样性度量(diversity measure)是用于度量集成中个体分类器的多样性,即估算个体学习器的多样化程度。典型做法是考虑个体分类器的两两相似/不相似性。
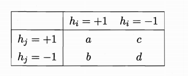
给定数据集D = { ( x 1 , y 1 ) , ( x 2 , y 2 ) , … , ( x m , y m ) } D=\left\{\left(\boldsymbol{x}_{1}, y_{1}\right),\left(\boldsymbol{x}_{2}, y_{2}\right), \ldots,\left(\boldsymbol{x}_{m}, y_{m}\right)\right\} D = { ( x 1 , y 1 ) , ( x 2 , y 2 ) , … , ( x m , y m ) } ,对二分类任务,y i ∈ y_{i} \in y i ∈ {-1,+1}, 分类器h i h_{i} h i 与h j h_{j} h j 的预测结果列联表(contingency table)为:
其中,a a a 表示h i h_{i} h i 与h j h_{j} h j 均预测为正类的样本数目;b b b 、c c c 、d d d 含义由此类推a + b + c + d = m a+b+c+d=m a + b + c + d = m 。基于这个列联表,下面给出一些常见的多样性度量。
不合度量(disagreement measure)
d i s i j = b + c m d i s_{i j}=\frac{b+c}{m} d i s i j = m b + c
d i s i j d i s_{i j} d i s i j 的值域为[0,1]。值越大则多样性越大。
相关系数(correlation coefficient)
ρ i j = a d − b c ( a + b ) ( a + c ) ( c + d ) ( b + d ) \rho_{i j}=\frac{a d-b c}{\sqrt{(a+b)(a+c)(c+d)(b+d)}} ρ i j = ( a + b ) ( a + c ) ( c + d ) ( b + d ) a d − b c
ρ i j \rho_{i j} ρ i j 的值域为[-1,1]。若h i 与 h_{i}与 h i 与 h_{j}无 关 , 则 值 为 0 ; 若 无关,则值为 0; 若 无 关 , 则 值 为 0 ; 若 h_{i}与 与 与 h_{j}$正相关则值为正,否则为负。
Q Q Q -统计量(Q Q Q -statistic)
Q i j = a d − b c a d + b c c Q_{i j}=\frac{a d-b c}{a d+b c c} Q i j = a d + b c c a d − b c
Q i j Q_{i j} Q i j 与相关系数ρ i j \rho_{i j} ρ i j 的符号相同,且∣ Q i j ∣ ⩽ ∣ ρ i j ∣ \left|Q_{i j}\right| \leqslant\left|\rho_{i j}\right| ∣ Q i j ∣ ⩽ ∣ ρ i j ∣
κ \kappa κ -统计量
κ = p 1 − p 2 1 − p 2 \kappa=\frac{p_{1}-p_{2}}{1-p_{2}} κ = 1 − p 2 p 1 − p 2
其中,p 1 p_{1} p 1 是两个分类器取得一致的概率;p 2 p_{2} p 2 是两个分类器偶然达成一致的概率,它们可由数据集D D D 估算:
p 1 = a + d m p_{1}=\frac{a+d}{m} p 1 = m a + d
p 2 = ( a + b ) ( a + c ) + ( c + d ) ( b + d ) m 2 p_{2}=\frac{(a+b)(a+c)+(c+d)(b+d)}{m^{2}} p 2 = m 2 ( a + b ) ( a + c ) + ( c + d ) ( b + d )
若分类器h i h_{i} h i 与h j h_{j} h j 在D D D 上完全一致,则κ = 1 \kappa=1 κ = 1 ; 若它们仅是偶然达成一致,则κ = 0 \kappa=0 κ = 0 . κ \kappa κ 通常为非负值,仅在h i h_{i} h i 与h j h_{j} h j 达成一致的概率甚至低于偶然性的情况下取负值。
以上介绍的都是“成对型”(pair wise)多样性度量,它们可以容易地通过 2 维图绘制出来。例如著名的“κ \kappa κ -误差图”,就是将每一对分类器作为图上的一个点,横坐标是这对分类器的κ \kappa κ 值,纵坐标是它们的平均误差,图 8.10 给出了一个例子。显然,数据点云的位置越高,则个体分类器准确性越低;点云的位置越靠右,则个体学习器的多样性越小。
多样性増强
在集成学习中需有效地生成多样性大的个体学习器。与简单地直接用初始数据训练出个体学习器相比,如何增强多样性呢?一般思路是在学习过程中引入随机性,常见做法主要是对数据样本、输入属性、输出表示、算法参数进行扰动
数据样本扰动
给定初始数据集,可从中产生出不同的数据子集,再利用不同的数据子集训练出不同的个体学习器。数据样本扰动通常是基于采样法,例如在 Bagging 中使用自助采样,在 Adaboost 中使用序列采样。此类做法简单高效,使用最广。对很多常见的基学习器,例如决策树、神经网络等,训练样本稍加变化就会导致学习器有显著变动,数据样本扰动法对这样的“不稳定基学习器”很有效;然而,有一些基学习器对数据样本的扰动不敏感,例如线性学习器、支持向量机、朴素贝叶斯、k 近邻学习器等,这样的基学习器称为稳定基学习器(stable base learner),对此类基学习器进行集成往往需使用输入属性扰动等其他机制.
输入属性扰动
训练样本通常由一组属性描述,不同的“子空间”(subspace,即属性子集)提供了观察数据的不同视角。显然,从不同子空间训练出的个体学习器必然有所不同。著名的随机子空间(random subspace)算法就依赖于输入属性扰动,该算法从初始属性集中抽取出若干个属性子集,再基于每个属性子集训练一个基学习器,算法描述如图 8.11 所示。对包含大量冗余属性的数据,在子空间中训练个体学习器不仅能产生多样性大的个体,还会因属性数的减少而大幅节省时间开销,同时,由于冗余属性多,减少一些属性后训练出的个体学习器也不至于太差。若数据只包含少量属性,或者冗余属性很少,则不宜使用输入属性扰动法。
子空间一般指从初始的高维属性空间投影产生的低维属性空间,描述低维空间的属性是通过初始属性投影变換而得,未必是初始属性。
输出表示扰动
此类做法的基本思路是对输出表示进行操纵以增强多样性。可对训练样本的类标记稍作变动,如“翻转法”(Flipping Output)随机改变一些训练样本的标记;也可对输出表示进行转化,如“输出调制法”(Output Smearing)将分类输出转化为回归输出后构建个体学习器;还可将原任务拆解为多个可同时求解的子任务,如 BCOC 法利用纠错输出码将多分类任务拆解为一系列二分类任务来训练基学习器。
算法参数扰动
基学习算法一般都有参数需进行设置,例如神经网络的隐层神经元数、初始连接权值等,通过随机设置不同的参数,往往可产生差别较大的个体学习器。例如“负相关法”(Negative Correlation)显式地通过正则化项来强制个体神经网络使用不同的参数。对参数较少的算法,可通过将其学习过程中某些环节用其他类似方式代替,从而达到扰动的目的,例如可将决策树使用的属性选择机制替换成其他的属性选择机制。值得指出的是,使用单学习器时通常需使用交叉验证等方法来确定参数值,这事实上已使用了不同参数训练出多个学习器,只不过最终仅选择其中一个学习器进行使用,而集成学习则相当于把这些学习器都利用起来;由此也可看出,集成学习技术的实际计算开销并不比使用单一学习器大很多。
不同的多样性增强机制可同时使用,例如随机森林中同时使用了数据样本扰动和输入属性扰动,有些方法甚至同时使用了更多机制。